| Frame | Nreads | Zeropoints | Mag plots
| Spatial mag deviation
| Spatial sky 16325A emission deviations (filled: sky, open: star)
| Spatial sky continuum emission
| Spatial sky telluric CO2 absorption deviations (filled: H < 10)
|
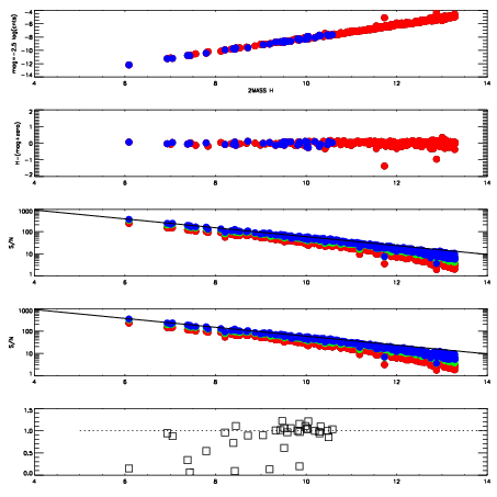
| 6620021
| 47
| | Red | Green | Blue
| | z | | 17.52
| | znorm | | 13.34
| | sky | 13.8 | 13.8 | 14.0
| | S/N | 4.8 | 8.6 | 13.5
| | S/N(c) | 4.3 | 7.8 | 12.5
| | SN(E/C) | 1.01
|
|
|
|
|
|
|
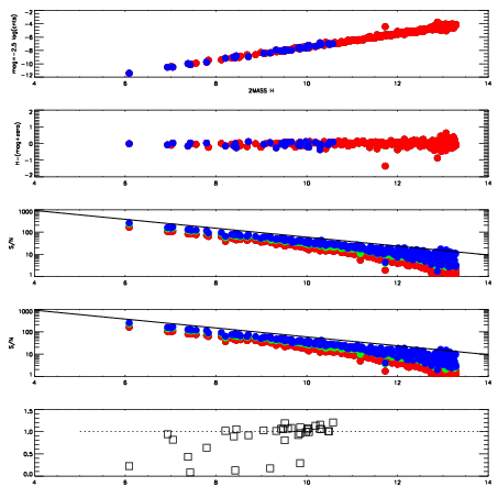
| 6620022
| 47
| | Red | Green | Blue
| | z | | 16.48
| | znorm | | 12.30
| | sky | 13.6 | 13.6 | 13.9
| | S/N | 1.6 | 3.7 | 9.6
| | S/N(c) | 1.5 | 3.2 | 8.5
| | SN(E/C) | 1.05
|
|
|
|
|
|
|
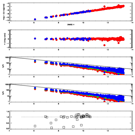
| 6620023
| 47
| | Red | Green | Blue
| | z | | 16.09
| | znorm | | 11.91
| | sky | 13.5 | 13.5 | 13.8
| | S/N | 1.3 | 2.9 | 8.3
| | S/N(c) | 1.2 | 2.5 | 7.5
| | SN(E/C) | 1.06
|
|
|
|
|
|
|
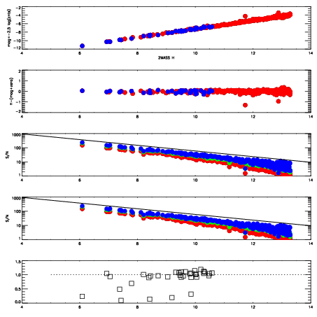
| 6620024
| 47
| | Red | Green | Blue
| | z | | 17.13
| | znorm | | 12.95
| | sky | 13.7 | 13.6 | 13.9
| | S/N | 3.4 | 6.5 | 10.5
| | S/N(c) | 3.2 | 5.9 | 9.3
| | SN(E/C) | 1.02
|
|
|
|
|
|
|
| 6620025
| 47
| | Red | Green | Blue
| | z | | 17.27
| | znorm | | 13.09
| | sky | 13.8 | 13.7 | 13.9
| | S/N | 3.6 | 7.3 | 10.8
| | S/N(c) | 3.2 | 6.5 | 9.7
| | SN(E/C) | 0.99
|
|
|
|
|
|
|
| 6620026
| 47
| | Red | Green | Blue
| | z | | 17.82
| | znorm | | 13.64
| | sky | 13.9 | 13.9 | 14.1
| | S/N | 6.1 | 10.9 | 13.5
| | S/N(c) | 5.4 | 10.0 | 12.5
| | SN(E/C) | 1.01
|
|
|
|
|
|
|
| 6620027
| 47
| | Red | Green | Blue
| | z | | 18.46
| | znorm | | 14.28
| | sky | 14.3 | 14.1 | 14.3
| | S/N | 10.1 | 16.7 | 18.5
| | S/N(c) | 8.8 | 15.5 | 17.0
| | SN(E/C) | 0.93
|
|
|
|
|
|
|
| 6620028
| 47
| | Red | Green | Blue
| | z | | 18.21
| | znorm | | 14.03
| | sky | 14.0 | 14.1 | 14.3
| | S/N | 8.1 | 14.7 | 15.8
| | S/N(c) | 7.3 | 13.3 | 14.7
| | SN(E/C) | 0.97
|
|
|
|
|
|
|