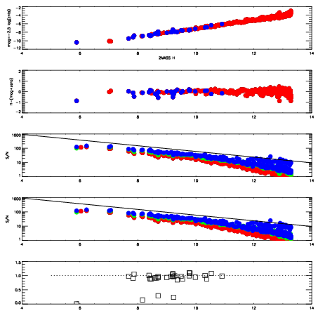
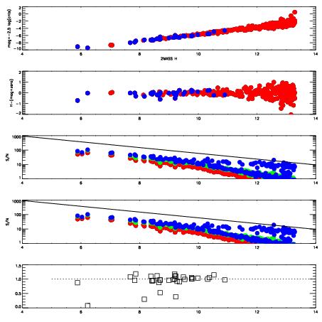
Left plots: red are targets, blue are telluric. Observed mags are calculated from median value of green chip. Zeropoint gives overall throughput: bigger number is more throughput.
First spatial plots: circles are objects, squares are tellurics, crosses are sky fibers. Colors give deviation of observed mag from expected 2MASS mag using the median zeropoint; red is brighter
Second spatial plots: circles are sky fibers. Colors give sky line brightness relative to plate median sky line brightness
FrameNreadsZeropointsMag plots Spatial mag deviation Spatial sky 16325A emission deviations (filled: sky, open: star) Spatial sky continuum emission Spatial sky telluric CO2 absorption deviations (filled: H < 10)
5490074 47
RedGreenBlue
z17.13
znorm12.95
sky 13.9 13.7 13.9
S/N 3.5 6.7 7.8
S/N(c) 3.1 5.9 6.9
SN(E/C) 0.97
5490075 47
RedGreenBlue
z15.69
znorm11.51
sky 13.5 13.5 13.6
S/N 0.9 2.0 2.8
S/N(c) 0.8 1.8 2.1
SN(E/C) 0.97