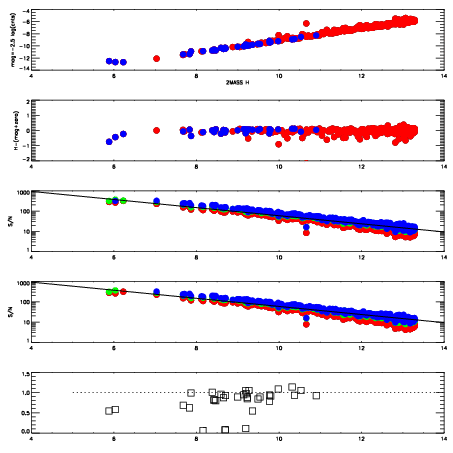
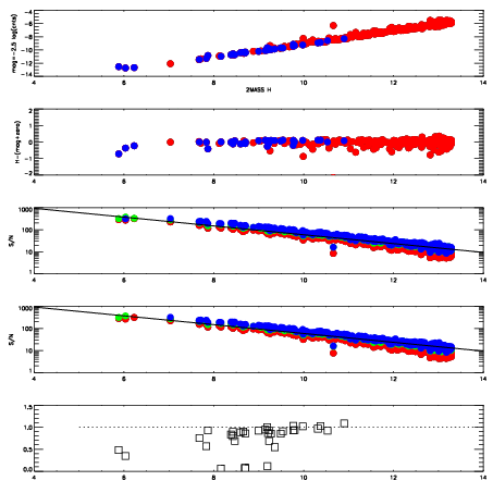
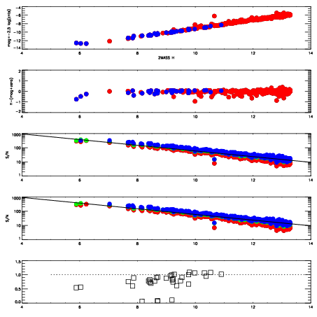
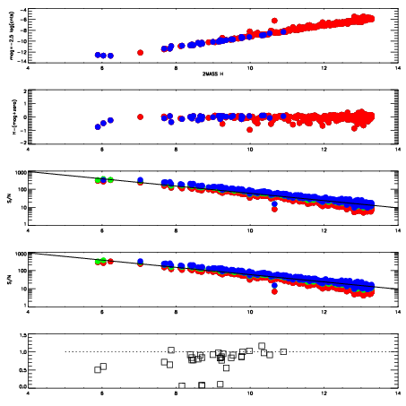
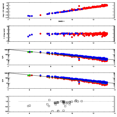
| Frame | Nreads | Zeropoints | Mag plots
| Spatial mag deviation
| Spatial sky 16325A emission deviations (filled: sky, open: star)
| Spatial sky continuum emission
| Spatial sky telluric CO2 absorption deviations (filled: H < 10)
|
| 6610025
| 47
| | Red | Green | Blue
| | z | | 19.18
| | znorm | | 15.00
| | sky | 14.7 | 14.4 | 14.5
| | S/N | 17.3 | 25.2 | 27.5
| | S/N(c) | 15.8 | 23.5 | 25.9
| | SN(E/C) | 0.85
|
|
|
|
|
|
|
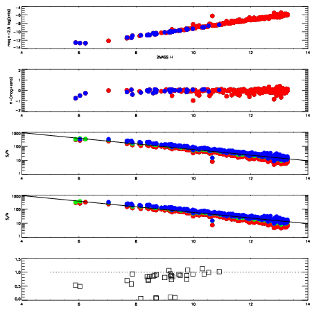
| 6610026
| 47
| | Red | Green | Blue
| | z | | 19.17
| | znorm | | 14.99
| | sky | 14.6 | 14.4 | 14.5
| | S/N | 17.2 | 25.5 | 27.0
| | S/N(c) | 15.4 | 23.7 | 25.2
| | SN(E/C) | 0.83
|
|
|
|
|
|
|
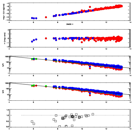
| 6610027
| 47
| | Red | Green | Blue
| | z | | 19.15
| | znorm | | 14.97
| | sky | 14.6 | 14.4 | 14.6
| | S/N | 16.8 | 25.5 | 26.4
| | S/N(c) | 15.1 | 23.8 | 25.0
| | SN(E/C) | 0.84
|
|
|
|
|
|
|
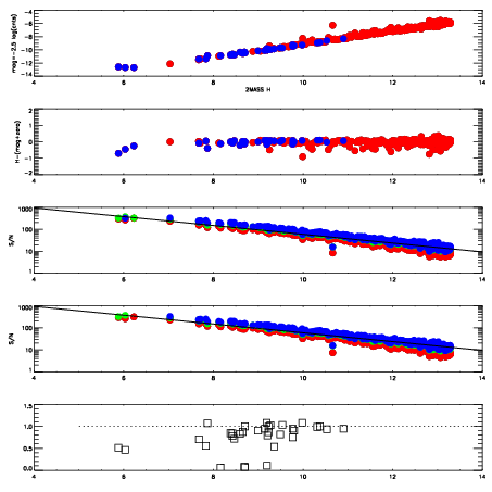
| 6610028
| 47
| | Red | Green | Blue
| | z | | 19.16
| | znorm | | 14.98
| | sky | 14.4 | 14.5 | 14.6
| | S/N | 16.9 | 25.6 | 26.4
| | S/N(c) | 15.2 | 24.0 | 25.2
| | SN(E/C) | 0.87
|
|
|
|
|
|
|
| 6610029
| 47
| | Red | Green | Blue
| | z | | 19.12
| | znorm | | 14.94
| | sky | 14.6 | 14.5 | 14.7
| | S/N | 16.5 | 25.6 | 26.3
| | S/N(c) | 15.0 | 23.7 | 24.9
| | SN(E/C) | 0.89
|
|
|
|
|
|
|
| 6610030
| 47
| | Red | Green | Blue
| | z | | 19.11
| | znorm | | 14.93
| | sky | 14.7 | 14.5 | 14.5
| | S/N | 16.4 | 25.7 | 25.6
| | S/N(c) | 14.7 | 24.1 | 24.9
| | SN(E/C) | 0.88
|
|
|
|
|
|
|
| 6610031
| 47
| | Red | Green | Blue
| | z | | 19.15
| | znorm | | 14.97
| | sky | 14.9 | 14.6 | 14.7
| | S/N | 17.1 | 26.3 | 26.7
| | S/N(c) | 15.4 | 25.0 | 26.0
| | SN(E/C) | 0.86
|
|
|
|
|
|
|
| 6610032
| 47
| | Red | Green | Blue
| | z | | 19.12
| | znorm | | 14.94
| | sky | 14.7 | 14.6 | 14.7
| | S/N | 16.3 | 25.5 | 26.5
| | S/N(c) | 14.6 | 24.4 | 25.9
| | SN(E/C) | 0.88
|
|
|
|
|
|
|