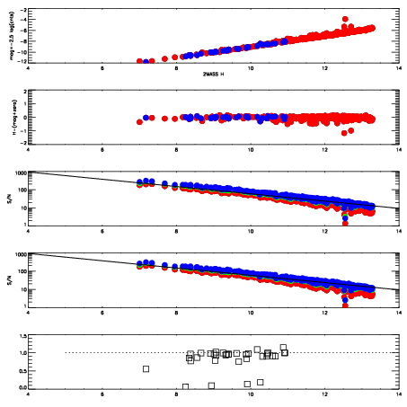
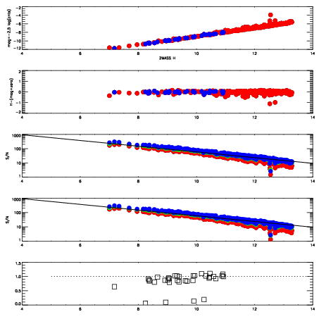
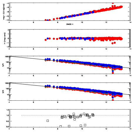
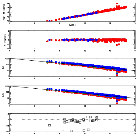
Left plots: red are targets, blue are telluric. Observed mags are calculated from median value of green chip. Zeropoint gives overall throughput: bigger number is more throughput.
First spatial plots: circles are objects, squares are tellurics, crosses are sky fibers. Colors give deviation of observed mag from expected 2MASS mag using the median zeropoint; red is brighter
Second spatial plots: circles are sky fibers. Colors give sky line brightness relative to plate median sky line brightness
FrameNreadsZeropointsMag plots Spatial mag deviation Spatial sky 16325A emission deviations (filled: sky, open: star) Spatial sky continuum emission Spatial sky telluric CO2 absorption deviations (filled: H < 10)
3080008 47
RedGreenBlue
z19.14
znorm14.96
sky 14.4 14.2 14.3
S/N 17.1 27.1 27.8
S/N(c) 15.2 25.4 26.7
SN(E/C) 0.90
3080009 47
RedGreenBlue
z19.15
znorm14.97
sky 14.6 14.4 14.7
S/N 16.9 26.8 28.3
S/N(c) 15.1 25.1 26.7
SN(E/C) 0.90
3080010 47
RedGreenBlue
z19.01
znorm14.83
sky 14.4 14.3 14.6
S/N 15.1 24.4 26.0
S/N(c) 13.5 22.5 24.4
SN(E/C) 0.95
3080011 47
RedGreenBlue
z18.95
znorm14.77
sky 14.4 14.5 14.5
S/N 14.8 23.6 25.1
S/N(c) 12.9 21.7 23.5
SN(E/C) 0.92