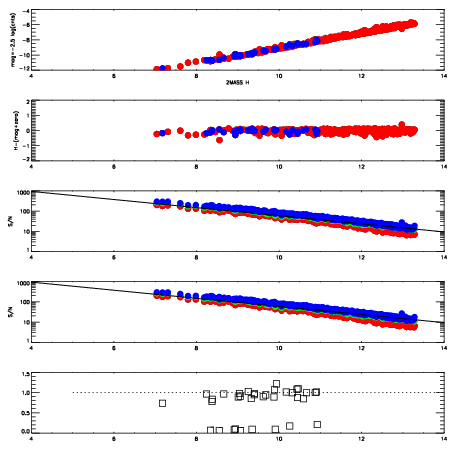
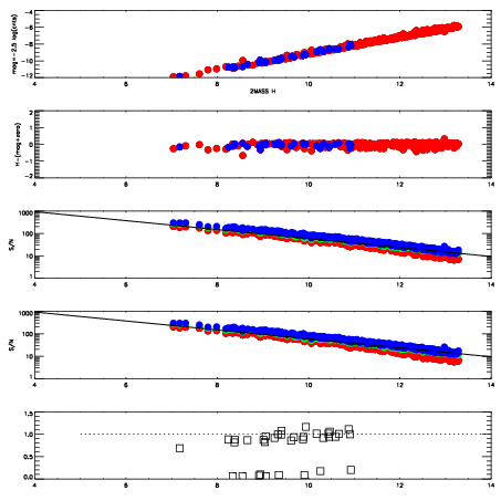
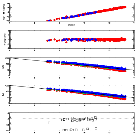
| Frame | Nreads | Zeropoints | Mag plots
| Spatial mag deviation
| Spatial sky 16325A emission deviations (filled: sky, open: star)
| Spatial sky continuum emission
| Spatial sky telluric CO2 absorption deviations (filled: H < 10)
|
| 3070023
| 47
| | Red | Green | Blue
| | z | | 19.10
| | znorm | | 14.92
| | sky | 15.0 | 14.6 | 14.6
| | S/N | 15.8 | 25.0 | 28.4
| | S/N(c) | 14.3 | 22.8 | 27.1
| | SN(E/C) | 0.91
|
|
|
|
|
|
|
| 3070024
| 47
| | Red | Green | Blue
| | z | | 19.16
| | znorm | | 14.98
| | sky | 15.3 | 14.7 | 14.7
| | S/N | 16.6 | 26.1 | 29.0
| | S/N(c) | 15.0 | 23.8 | 27.5
| | SN(E/C) | 0.91
|
|
|
|
|
|
|
| 3070025
| 47
| | Red | Green | Blue
| | z | | 19.12
| | znorm | | 14.94
| | sky | 14.8 | 14.6 | 14.8
| | S/N | 16.2 | 25.4 | 28.2
| | S/N(c) | 14.3 | 23.3 | 26.7
| | SN(E/C) | 0.92
|
|
|
|
|
|
|
| 3070026
| 47
| | Red | Green | Blue
| | z | | 19.12
| | znorm | | 14.94
| | sky | 14.9 | 14.7 | 14.7
| | S/N | 16.2 | 25.5 | 28.3
| | S/N(c) | 14.3 | 23.4 | 26.8
| | SN(E/C) | 0.89
|
|
|
|
|
|
|
| 3070027
| 47
| | Red | Green | Blue
| | z | | 19.18
| | znorm | | 15.00
| | sky | 14.9 | 14.7 | 14.7
| | S/N | 16.6 | 26.5 | 29.0
| | S/N(c) | 14.9 | 24.3 | 27.5
| | SN(E/C) | 0.88
|
|
|
|
|
|
|
| 3070028
| 47
| | Red | Green | Blue
| | z | | 19.06
| | znorm | | 14.88
| | sky | 14.8 | 14.7 | 14.7
| | S/N | 15.5 | 24.4 | 27.2
| | S/N(c) | 13.6 | 22.4 | 25.8
| | SN(E/C) | 0.91
|
|
|
|
|
|
|
| 3070029
| 47
| | Red | Green | Blue
| | z | | 19.05
| | znorm | | 14.87
| | sky | 14.8 | 14.6 | 14.7
| | S/N | 15.3 | 24.4 | 27.0
| | S/N(c) | 13.4 | 22.4 | 25.6
| | SN(E/C) | 0.89
|
|
|
|
|
|
|
| 3070030
| 47
| | Red | Green | Blue
| | z | | 19.01
| | znorm | | 14.83
| | sky | 14.7 | 14.8 | 14.7
| | S/N | 14.9 | 23.9 | 26.3
| | S/N(c) | 13.4 | 21.8 | 25.0
| | SN(E/C) | 0.92
|
|
|
|
|
|
|