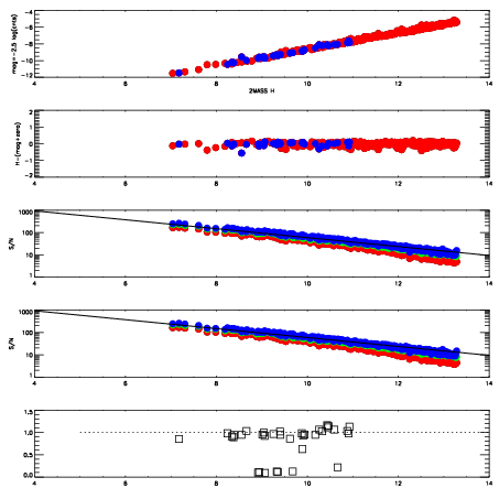
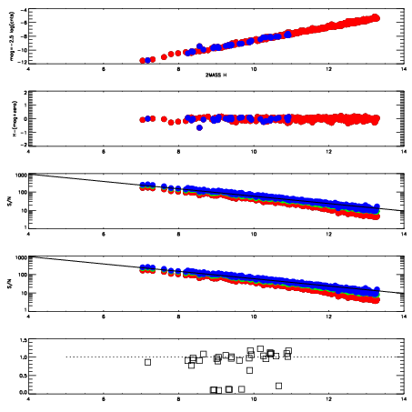
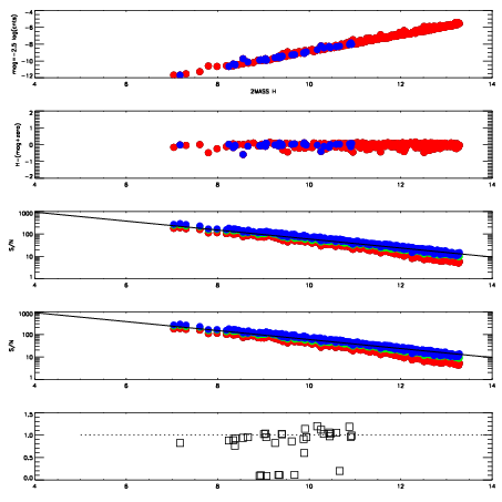
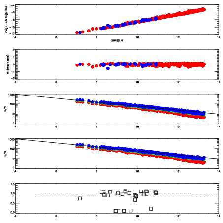
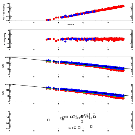
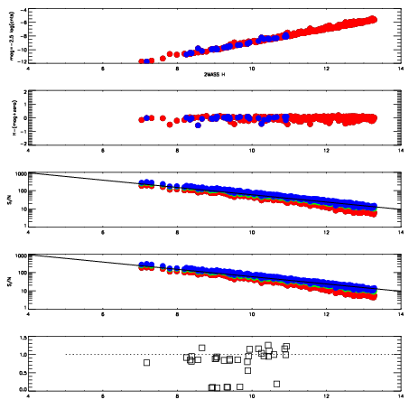
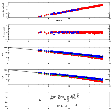
| Frame | Nreads | Zeropoints | Mag plots
| Spatial mag deviation
| Spatial sky 16325A emission deviations (filled: sky, open: star)
| Spatial sky continuum emission
| Spatial sky telluric CO2 absorption deviations (filled: H < 10)
|
| 6420033
| 47
| | Red | Green | Blue
| | z | | 18.66
| | znorm | | 14.48
| | sky | 14.7 | 14.3 | 14.6
| | S/N | 11.2 | 19.4 | 21.1
| | S/N(c) | 9.8 | 18.0 | 19.8
| | SN(E/C) | 0.96
|
|
|
|
|
|
|
| 6420034
| 47
| | Red | Green | Blue
| | z | | 18.67
| | znorm | | 14.49
| | sky | 14.4 | 14.4 | 14.9
| | S/N | 11.2 | 19.2 | 21.3
| | S/N(c) | 10.0 | 17.9 | 19.9
| | SN(E/C) | 0.95
|
|
|
|
|
|
|
| 6420035
| 47
| | Red | Green | Blue
| | z | | 18.71
| | znorm | | 14.53
| | sky | 14.5 | 14.4 | 14.9
| | S/N | 11.7 | 19.3 | 21.8
| | S/N(c) | 10.4 | 17.9 | 20.5
| | SN(E/C) | 0.94
|
|
|
|
|
|
|
| 6420036
| 47
| | Red | Green | Blue
| | z | | 18.62
| | znorm | | 14.44
| | sky | 14.6 | 14.4 | 14.8
| | S/N | 10.8 | 18.0 | 20.6
| | S/N(c) | 9.5 | 16.7 | 19.5
| | SN(E/C) | 0.94
|
|
|
|
|
|
|
| 6420037
| 47
| | Red | Green | Blue
| | z | | 18.73
| | znorm | | 14.55
| | sky | 14.5 | 14.4 | 14.9
| | S/N | 11.5 | 19.0 | 21.5
| | S/N(c) | 10.3 | 17.6 | 20.3
| | SN(E/C) | 0.97
|
|
|
|
|
|
|
| 6420038
| 47
| | Red | Green | Blue
| | z | | 18.87
| | znorm | | 14.69
| | sky | 14.7 | 14.5 | 14.8
| | S/N | 13.0 | 21.2 | 23.1
| | S/N(c) | 11.6 | 19.7 | 21.5
| | SN(E/C) | 0.95
|
|
|
|
|
|
|
| 6420039
| 47
| | Red | Green | Blue
| | z | | 18.93
| | znorm | | 14.75
| | sky | 14.6 | 14.6 | 14.9
| | S/N | 13.1 | 21.8 | 23.4
| | S/N(c) | 11.7 | 20.1 | 22.1
| | SN(E/C) | 0.88
|
|
|
|
|
|
|
| 6420040
| 47
| | Red | Green | Blue
| | z | | 18.67
| | znorm | | 14.49
| | sky | 14.5 | 14.6 | 14.8
| | S/N | 10.9 | 18.7 | 20.7
| | S/N(c) | 9.6 | 17.2 | 19.6
| | SN(E/C) | 0.98
|
|
|
|
|
|
|