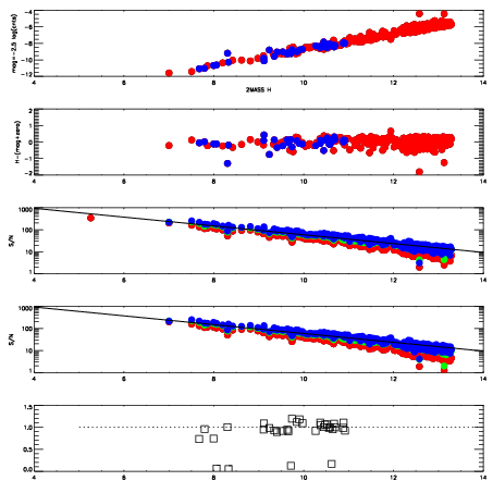
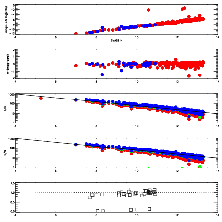
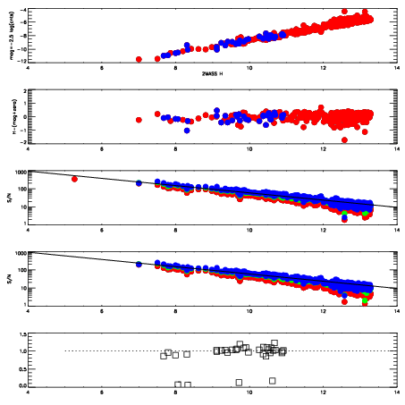
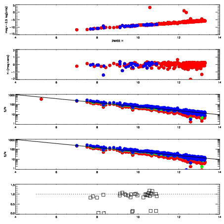
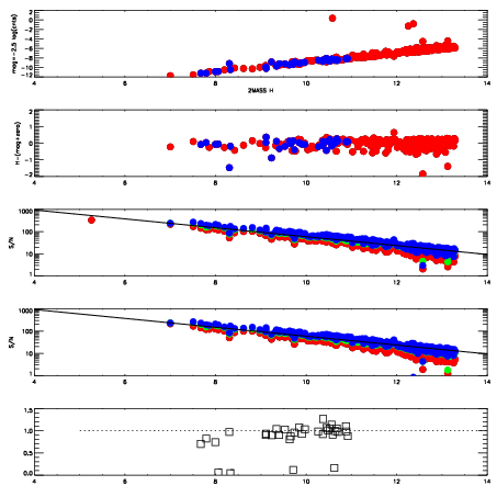
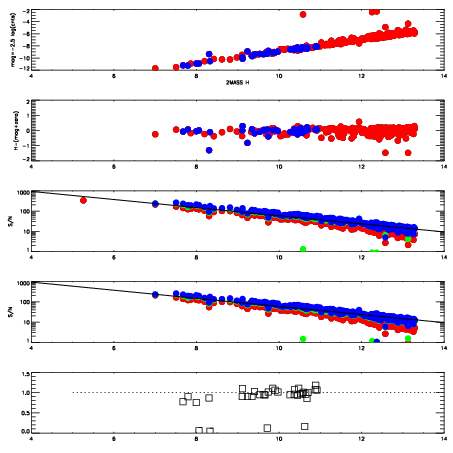
| Frame | Nreads | Zeropoints | Mag plots
| Spatial mag deviation
| Spatial sky 16325A emission deviations (filled: sky, open: star)
| Spatial sky continuum emission
| Spatial sky telluric CO2 absorption deviations (filled: H < 10)
|
| 2830035
| 47
| | Red | Green | Blue
| | z | | 18.73
| | znorm | | 14.55
| | sky | 15.3 | 14.5 | 14.2
| | S/N | 11.3 | 18.8 | 20.4
| | S/N(c) | 9.6 | 17.5 | 18.3
| | SN(E/C) | 1.01
|
|
|
|
|
|
|
| 2830036
| 47
| | Red | Green | Blue
| | z | | 18.80
| | znorm | | 14.62
| | sky | 14.7 | 14.4 | 14.5
| | S/N | 12.2 | 20.1 | 21.7
| | S/N(c) | 10.3 | 17.8 | 19.4
| | SN(E/C) | 0.98
|
|
|
|
|
|
|
| 2830037
| 47
| | Red | Green | Blue
| | z | | 18.93
| | znorm | | 14.75
| | sky | 14.8 | 14.6 | 14.6
| | S/N | 13.1 | 21.8 | 22.9
| | S/N(c) | 11.1 | 19.2 | 20.8
| | SN(E/C) | 0.95
|
|
|
|
|
|
|
| 2830038
| 47
| | Red | Green | Blue
| | z | | 18.95
| | znorm | | 14.77
| | sky | 14.6 | 14.6 | 14.5
| | S/N | 13.5 | 22.3 | 23.2
| | S/N(c) | 11.8 | 19.7 | 21.1
| | SN(E/C) | 0.96
|
|
|
|
|
|
|
| 2830039
| 47
| | Red | Green | Blue
| | z | | 18.94
| | znorm | | 14.76
| | sky | 14.8 | 14.6 | 14.6
| | S/N | 13.4 | 22.5 | 23.2
| | S/N(c) | 11.6 | 19.7 | 20.9
| | SN(E/C) | 0.95
|
|
|
|
|
|
|
| 2830040
| 47
| | Red | Green | Blue
| | z | | 18.98
| | znorm | | 14.80
| | sky | 14.9 | 14.7 | 14.6
| | S/N | 14.1 | 23.0 | 23.8
| | S/N(c) | 12.0 | 20.7 | 21.6
| | SN(E/C) | 0.94
|
|
|
|
|
|
|
| 2830041
| 47
| | Red | Green | Blue
| | z | | 19.01
| | znorm | | 14.83
| | sky | 14.8 | 14.8 | 14.7
| | S/N | 14.7 | 23.5 | 24.6
| | S/N(c) | 12.6 | 21.1 | 22.4
| | SN(E/C) | 0.97
|
|
|
|
|
|
|
| 2830042
| 47
| | Red | Green | Blue
| | z | | 18.94
| | znorm | | 14.76
| | sky | 14.9 | 14.7 | 14.6
| | S/N | 13.9 | 22.9 | 23.7
| | S/N(c) | 12.0 | 20.5 | 21.8
| | SN(E/C) | 0.96
|
|
|
|
|
|
|