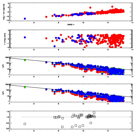
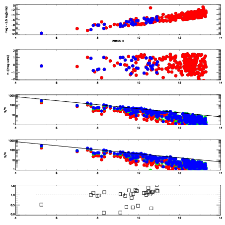
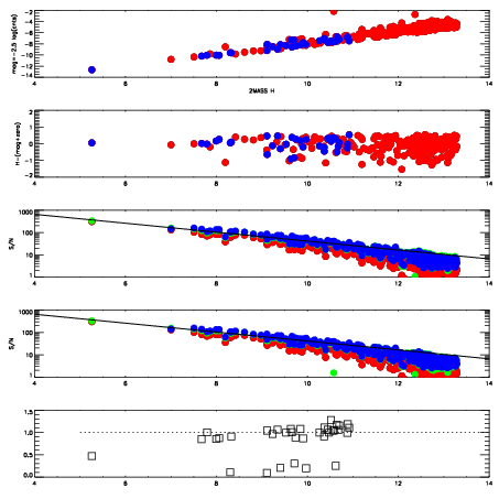
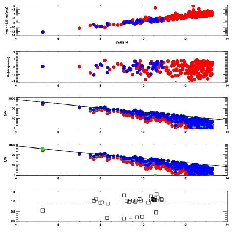
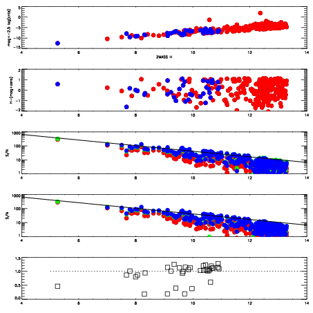
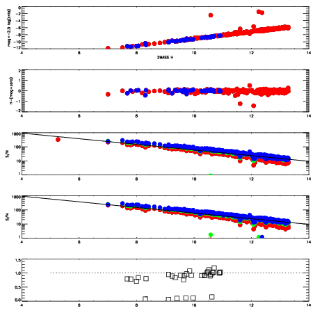
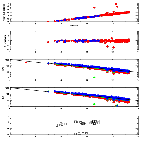
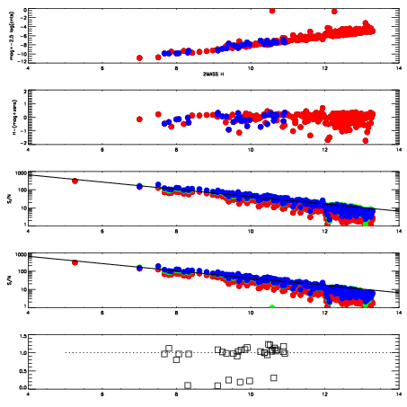
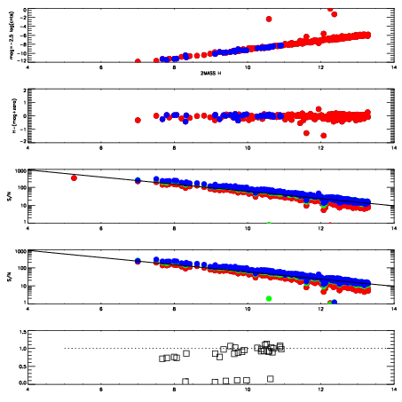
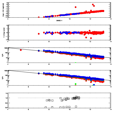
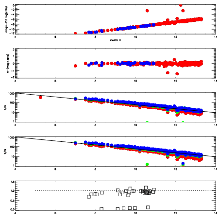
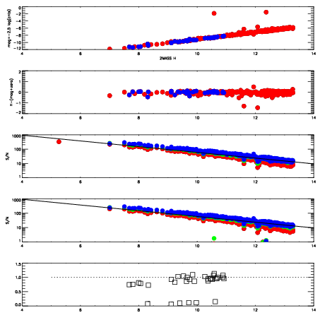
| Frame | Nreads | Zeropoints | Mag plots
| Spatial mag deviation
| Spatial sky 16325A emission deviations (filled: sky, open: star)
| Spatial sky continuum emission
| Spatial sky telluric CO2 absorption deviations (filled: H < 10)
|
| 2860009
| 23
| | Red | Green | Blue
| | z | | 17.53
| | znorm | | 14.13
| | sky | 14.3 | 14.1 | 14.1
| | S/N | 2.1 | 5.8 | 4.9
| | S/N(c) | 1.9 | 5.5 | 5.1
| | SN(E/C) | 1.03
|
|
|
|
|
|
|
| 2860010
| 23
| | Red | Green | Blue
| | z | | 16.05
| | znorm | | 12.64
| | sky | 14.8 | 14.4 | 14.3
| | S/N | 0.5 | 1.8 | 2.0
| | S/N(c) | 0.4 | 1.8 | 1.9
| | SN(E/C) | 1.06
|
|
|
|
|
|
|
| 2860011
| 23
| | Red | Green | Blue
| | z | | 17.85
| | znorm | | 14.44
| | sky | 14.6 | 14.1 | 14.2
| | S/N | 4.9 | 11.4 | 10.1
| | S/N(c) | 4.1 | 10.3 | 9.5
| | SN(E/C) | 1.00
|
|
|
|
|
|
|
| 2860012
| 23
| | Red | Green | Blue
| | z | | 17.17
| | znorm | | 13.77
| | sky | 14.1 | 14.4 | 14.1
| | S/N | 2.5 | 5.8 | 4.9
| | S/N(c) | 2.3 | 5.3 | 4.5
| | SN(E/C) | 1.02
|
|
|
|
|
|
|
| 2860013
| 23
| | Red | Green | Blue
| | z | | 16.08
| | znorm | | 12.67
| | sky | 14.6 | 14.6 | 14.8
| | S/N | 0.6 | 2.0 | 2.8
| | S/N(c) | 0.6 | 1.8 | 2.5
| | SN(E/C) | 1.10
|
|
|
|
|
|
|
| 2860014
| 23
| | Red | Green | Blue
| | z | | 18.02
| | znorm | | 14.62
| | sky | 15.4 | 14.2 | 14.2
| | S/N | 4.5 | 10.5 | 10.0
| | S/N(c) | 4.1 | 9.4 | 9.6
| | SN(E/C) | 1.02
|
|
|
|
|
|
|
| 2860015
| 23
| | Red | Green | Blue
| | z | | 16.75
| | znorm | | 13.34
| | sky | 14.8 | 14.3 | 14.5
| | S/N | 2.3 | 6.0 | 5.4
| | S/N(c) | 2.0 | 5.5 | 5.1
| | SN(E/C) | 1.06
|
|
|
|
|
|
|
| 2860016
| 23
| | Red | Green | Blue
| | z | | 17.77
| | znorm | | 14.36
| | sky | 14.1 | 14.2 | 14.3
| | S/N | 4.2 | 9.9 | 9.1
| | S/N(c) | 3.7 | 8.6 | 8.5
| | SN(E/C) | 1.02
|
|
|
|
|
|
|
| 2860017
| 23
| | Red | Green | Blue
| | z | | 17.41
| | znorm | | 14.00
| | sky | 14.5 | 14.4 | 14.2
| | S/N | 2.8 | 6.1 | 6.4
| | S/N(c) | 2.5 | 5.5 | 5.8
| | SN(E/C) | 1.02
|
|
|
|
|
|
|
| 2860018
| 23
| | Red | Green | Blue
| | z | | 16.96
| | znorm | | 13.55
| | sky | 14.6 | 14.6 | 14.7
| | S/N | 2.0 | 4.8 | 4.6
| | S/N(c) | 1.9 | 4.5 | 4.4
| | SN(E/C) | 1.02
|
|
|
|
|
|
|
| 2860019
| 23
| | Red | Green | Blue
| | z | | 18.13
| | znorm | | 14.72
| | sky | 14.4 | 14.3 | 14.3
| | S/N | 5.8 | 12.4 | 12.3
| | S/N(c) | 5.0 | 11.3 | 11.4
| | SN(E/C) | 0.99
|
|
|
|
|
|
|
| 2860020
| 23
| | Red | Green | Blue
| | z | | 17.26
| | znorm | | 13.86
| | sky | 14.6 | 14.5 | 14.5
| | S/N | 3.0 | 8.0 | 7.2
| | S/N(c) | 2.8 | 7.1 | 6.8
| | SN(E/C) | 1.00
|
|
|
|
|
|
|
| 2860021
| 23
| | Red | Green | Blue
| | z | | 17.44
| | znorm | | 14.03
| | sky | 14.1 | 14.6 | 14.4
| | S/N | 3.2 | 7.7 | 6.9
| | S/N(c) | 2.8 | 6.8 | 6.3
| | SN(E/C) | 1.00
|
|
|
|
|
|
|
| 2860022
| 23
| | Red | Green | Blue
| | z | | 17.42
| | znorm | | 14.01
| | sky | 14.1 | 14.5 | 14.2
| | S/N | 2.2 | 5.4 | 5.9
| | S/N(c) | 1.9 | 4.9 | 5.2
| | SN(E/C) | 1.02
|
|
|
|
|
|
|
| 2860023
| 23
| | Red | Green | Blue
| | z | | 17.49
| | znorm | | 14.09
| | sky | 14.9 | 14.5 | 14.5
| | S/N | 3.1 | 7.6 | 6.9
| | S/N(c) | 2.8 | 6.8 | 6.6
| | SN(E/C) | 1.02
|
|
|
|
|
|
|
| 2860042
| 47
| | Red | Green | Blue
| | z | | 19.15
| | znorm | | 14.97
| | sky | 14.7 | 14.4 | 14.1
| | S/N | 15.2 | 25.1 | 25.5
| | S/N(c) | 13.6 | 23.4 | 25.2
| | SN(E/C) | 0.90
|
|
|
|
|
|
|
| 2860043
| 47
| | Red | Green | Blue
| | z | | 19.16
| | znorm | | 14.98
| | sky | 14.6 | 14.4 | 14.4
| | S/N | 15.2 | 25.3 | 26.1
| | S/N(c) | 13.5 | 23.7 | 25.5
| | SN(E/C) | 0.93
|
|
|
|
|
|
|
| 2860044
| 47
| | Red | Green | Blue
| | z | | 19.17
| | znorm | | 14.99
| | sky | 14.4 | 14.5 | 14.4
| | S/N | 14.8 | 24.7 | 25.6
| | S/N(c) | 13.2 | 23.0 | 25.1
| | SN(E/C) | 0.91
|
|
|
|
|
|
|
| 2860045
| 47
| | Red | Green | Blue
| | z | | 19.15
| | znorm | | 14.97
| | sky | 14.4 | 14.5 | 14.5
| | S/N | 14.8 | 24.6 | 25.5
| | S/N(c) | 13.0 | 23.0 | 24.9
| | SN(E/C) | 0.90
|
|
|
|
|
|
|
| 2860046
| 47
| | Red | Green | Blue
| | z | | 19.13
| | znorm | | 14.95
| | sky | 14.6 | 14.6 | 14.6
| | S/N | 14.4 | 24.2 | 25.2
| | S/N(c) | 12.9 | 22.5 | 24.5
| | SN(E/C) | 0.96
|
|
|
|
|
|
|
| 2860047
| 47
| | Red | Green | Blue
| | z | | 19.16
| | znorm | | 14.98
| | sky | 14.6 | 14.7 | 14.6
| | S/N | 14.5 | 24.8 | 25.5
| | S/N(c) | 13.1 | 22.7 | 24.8
| | SN(E/C) | 0.93
|
|
|
|
|
|
|
| 2860048
| 47
| | Red | Green | Blue
| | z | | 19.18
| | znorm | | 15.00
| | sky | 14.8 | 14.6 | 14.5
| | S/N | 14.8 | 25.0 | 25.9
| | S/N(c) | 13.1 | 23.4 | 25.2
| | SN(E/C) | 0.91
|
|
|
|
|
|
|
| 2860049
| 47
| | Red | Green | Blue
| | z | | 19.19
| | znorm | | 15.01
| | sky | 14.6 | 14.6 | 14.5
| | S/N | 15.0 | 25.2 | 26.3
| | S/N(c) | 13.3 | 23.4 | 25.4
| | SN(E/C) | 0.91
|
|
|
|
|
|
|