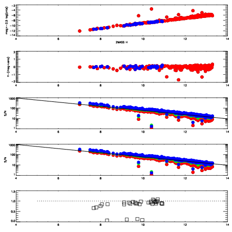
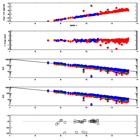
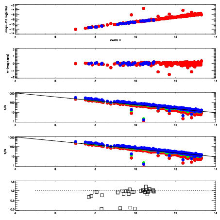
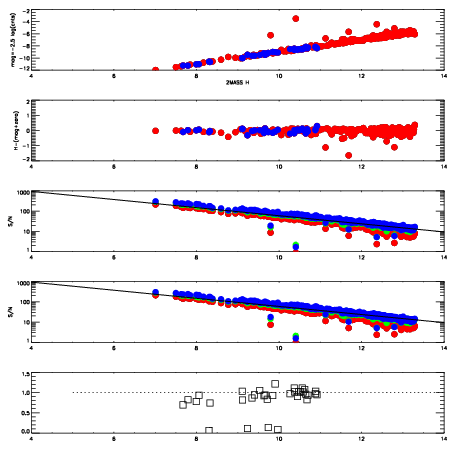
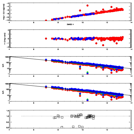
| Frame | Nreads | Zeropoints | Mag plots
| Spatial mag deviation
| Spatial sky 16325A emission deviations (filled: sky, open: star)
| Spatial sky continuum emission
| Spatial sky telluric CO2 absorption deviations (filled: H < 10)
|
| 2610039
| 47
| | Red | Green | Blue
| | z | | 19.09
| | znorm | | 14.91
| | sky | 15.1 | 14.7 | 14.5
| | S/N | 15.9 | 25.8 | 28.1
| | S/N(c) | 14.1 | 24.2 | 26.5
| | SN(E/C) | 0.93
|
|
|
|
|
|
|
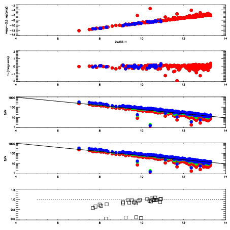
| 2610040
| 47
| | Red | Green | Blue
| | z | | 19.09
| | znorm | | 14.91
| | sky | 14.7 | 14.6 | 14.8
| | S/N | 15.6 | 25.1 | 28.3
| | S/N(c) | 14.0 | 23.5 | 26.8
| | SN(E/C) | 0.94
|
|
|
|
|
|
|
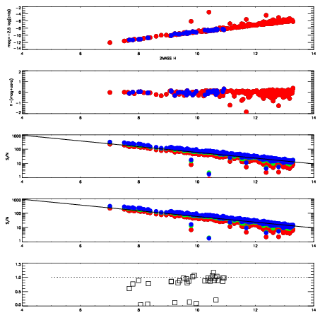
| 2610041
| 47
| | Red | Green | Blue
| | z | | 19.14
| | znorm | | 14.96
| | sky | 14.6 | 14.6 | 14.8
| | S/N | 15.6 | 25.3 | 28.7
| | S/N(c) | 13.8 | 23.6 | 27.3
| | SN(E/C) | 0.89
|
|
|
|
|
|
|
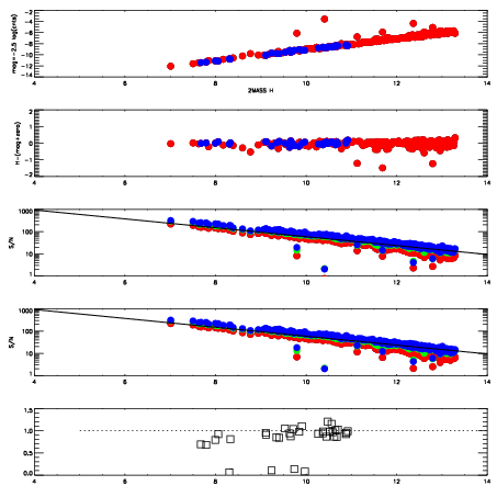
| 2610042
| 47
| | Red | Green | Blue
| | z | | 18.90
| | znorm | | 14.71
| | sky | 14.8 | 14.6 | 14.9
| | S/N | 13.8 | 22.7 | 25.4
| | S/N(c) | 11.9 | 21.1 | 24.1
| | SN(E/C) | 0.95
|
|
|
|
|
|
|
| 2610043
| 47
| | Red | Green | Blue
| | z | | 19.01
| | znorm | | 14.82
| | sky | 14.8 | 14.7 | 14.9
| | S/N | 14.2 | 23.5 | 25.6
| | S/N(c) | 12.6 | 21.8 | 24.4
| | SN(E/C) | 0.94
|
|
|
|
|
|
|
| 2610044
| 47
| | Red | Green | Blue
| | z | | 19.11
| | znorm | | 14.93
| | sky | 14.7 | 14.7 | 14.9
| | S/N | 15.0 | 24.7 | 26.6
| | S/N(c) | 13.4 | 22.9 | 24.9
| | SN(E/C) | 0.91
|
|
|
|
|
|
|
| 2610045
| 47
| | Red | Green | Blue
| | z | | 19.08
| | znorm | | 14.90
| | sky | 14.9 | 14.8 | 14.9
| | S/N | 14.5 | 24.1 | 25.6
| | S/N(c) | 12.8 | 22.3 | 24.4
| | SN(E/C) | 0.88
|
|
|
|
|
|
|
| 2610046
| 47
| | Red | Green | Blue
| | z | | 18.87
| | znorm | | 14.69
| | sky | 14.8 | 14.9 | 15.0
| | S/N | 12.5 | 21.6 | 23.6
| | S/N(c) | 11.1 | 20.0 | 22.3
| | SN(E/C) | 0.99
|
|
|
|
|
|
|