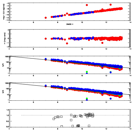
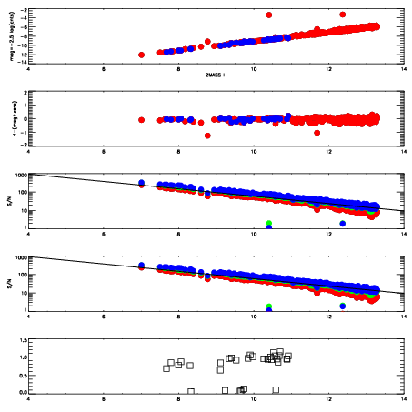
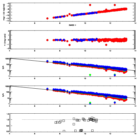
| Frame | Nreads | Zeropoints | Mag plots
| Spatial mag deviation
| Spatial sky 16325A emission deviations (filled: sky, open: star)
| Spatial sky continuum emission
| Spatial sky telluric CO2 absorption deviations (filled: H < 10)
|
| 3040023
| 47
| | Red | Green | Blue
| | z | | 19.00
| | znorm | | 14.82
| | sky | 15.0 | 14.7 | 14.9
| | S/N | 14.8 | 23.9 | 27.7
| | S/N(c) | 12.8 | 22.1 | 26.1
| | SN(E/C) | 0.96
|
|
|
|
|
|
|
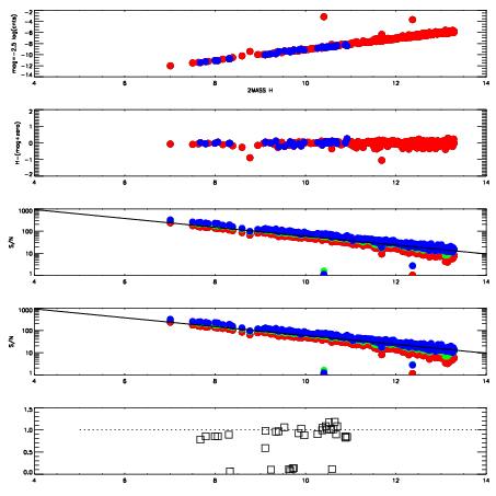
| 3040024
| 47
| | Red | Green | Blue
| | z | | 19.08
| | znorm | | 14.90
| | sky | 14.8 | 14.7 | 15.0
| | S/N | 15.5 | 25.1 | 28.1
| | S/N(c) | 13.4 | 23.1 | 26.5
| | SN(E/C) | 0.90
|
|
|
|
|
|
|
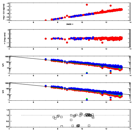
| 3040025
| 47
| | Red | Green | Blue
| | z | | 19.15
| | znorm | | 14.97
| | sky | 14.8 | 14.7 | 14.9
| | S/N | 16.4 | 26.5 | 29.3
| | S/N(c) | 14.4 | 24.4 | 27.7
| | SN(E/C) | 0.91
|
|
|
|
|
|
|
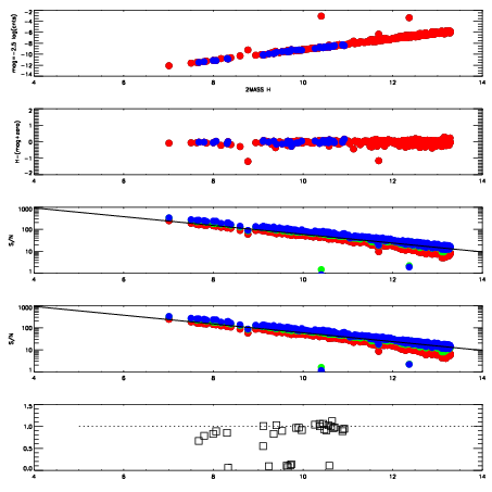
| 3040026
| 47
| | Red | Green | Blue
| | z | | 19.16
| | znorm | | 14.98
| | sky | 14.8 | 14.7 | 15.0
| | S/N | 16.7 | 26.8 | 29.4
| | S/N(c) | 14.5 | 24.7 | 27.8
| | SN(E/C) | 0.94
|
|
|
|
|
|
|
| 3040027
| 47
| | Red | Green | Blue
| | z | | 19.15
| | znorm | | 14.97
| | sky | 15.0 | 14.8 | 15.0
| | S/N | 16.1 | 26.0 | 28.7
| | S/N(c) | 14.4 | 24.3 | 27.2
| | SN(E/C) | 0.96
|
|
|
|
|
|
|
| 3040028
| 47
| | Red | Green | Blue
| | z | | 19.16
| | znorm | | 14.98
| | sky | 15.0 | 14.8 | 15.1
| | S/N | 16.4 | 26.6 | 29.0
| | S/N(c) | 14.4 | 24.5 | 27.3
| | SN(E/C) | 0.94
|
|
|
|
|
|
|
| 3040029
| 47
| | Red | Green | Blue
| | z | | 19.19
| | znorm | | 15.01
| | sky | 15.0 | 14.8 | 15.0
| | S/N | 16.5 | 26.9 | 29.2
| | S/N(c) | 14.6 | 24.9 | 27.6
| | SN(E/C) | 0.92
|
|
|
|
|
|
|
| 3040030
| 47
| | Red | Green | Blue
| | z | | 19.18
| | znorm | | 15.00
| | sky | 14.9 | 14.9 | 15.0
| | S/N | 16.4 | 26.8 | 29.2
| | S/N(c) | 14.5 | 24.9 | 27.7
| | SN(E/C) | 0.91
|
|
|
|
|
|
|