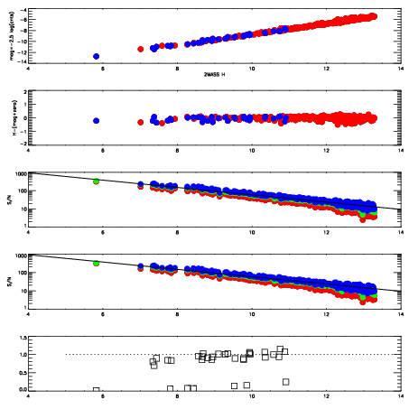
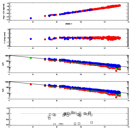
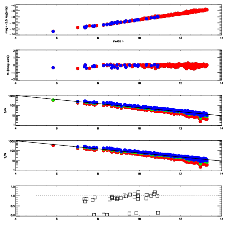
| Frame | Nreads | Zeropoints | Mag plots
| Spatial mag deviation
| Spatial sky 16325A emission deviations (filled: sky, open: star)
| Spatial sky continuum emission
| Spatial sky telluric CO2 absorption deviations (filled: H < 10)
|
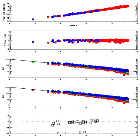
| 3140023
| 47
| | Red | Green | Blue
| | z | | 18.89
| | znorm | | 14.71
| | sky | 14.4 | 14.1 | 14.4
| | S/N | 14.9 | 23.9 | 25.7
| | S/N(c) | 13.3 | 22.5 | 24.1
| | SN(E/C) | 0.95
|
|
|
|
|
|
|
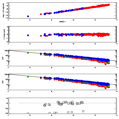
| 3140024
| 47
| | Red | Green | Blue
| | z | | 18.76
| | znorm | | 14.58
| | sky | 14.2 | 13.9 | 14.2
| | S/N | 13.1 | 21.8 | 23.3
| | S/N(c) | 11.7 | 20.6 | 21.9
| | SN(E/C) | 0.90
|
|
|
|
|
|
|
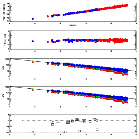
| 3140025
| 47
| | Red | Green | Blue
| | z | | 18.90
| | znorm | | 14.72
| | sky | 14.4 | 14.2 | 14.4
| | S/N | 14.6 | 24.2 | 25.5
| | S/N(c) | 13.0 | 22.8 | 24.1
| | SN(E/C) | 0.92
|
|
|
|
|
|
|
| 3140026
| 47
| | Red | Green | Blue
| | z | | 18.63
| | znorm | | 14.45
| | sky | 13.6 | 13.6 | 13.7
| | S/N | 11.4 | 19.6 | 20.4
| | S/N(c) | 10.0 | 18.2 | 19.0
| | SN(E/C) | 0.93
|
|
|
|
|
|
|
| 3140027
| 47
| | Red | Green | Blue
| | z | | 18.76
| | znorm | | 14.58
| | sky | 14.1 | 14.0 | 14.1
| | S/N | 13.3 | 22.1 | 23.0
| | S/N(c) | 11.8 | 20.7 | 21.5
| | SN(E/C) | 0.93
|
|
|
|
|
|
|
| 3140028
| 47
| | Red | Green | Blue
| | z | | 18.73
| | znorm | | 14.55
| | sky | 14.1 | 13.9 | 14.0
| | S/N | 12.8 | 21.5 | 22.5
| | S/N(c) | 11.5 | 19.9 | 21.0
| | SN(E/C) | 0.95
|
|
|
|
|
|
|
| 3140029
| 47
| | Red | Green | Blue
| | z | | 18.96
| | znorm | | 14.78
| | sky | 14.7 | 14.4 | 14.6
| | S/N | 15.4 | 25.5 | 25.8
| | S/N(c) | 13.8 | 23.8 | 24.4
| | SN(E/C) | 0.89
|
|
|
|
|
|
|
| 3140030
| 47
| | Red | Green | Blue
| | z | | 19.01
| | znorm | | 14.83
| | sky | 14.7 | 14.6 | 14.7
| | S/N | 16.0 | 26.2 | 26.8
| | S/N(c) | 14.2 | 24.6 | 25.5
| | SN(E/C) | 0.89
|
|
|
|
|
|
|