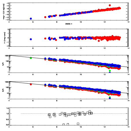
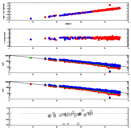
| Frame | Nreads | Zeropoints | Mag plots
| Spatial mag deviation
| Spatial sky 16325A emission deviations (filled: sky, open: star)
| Spatial sky continuum emission
| Spatial sky telluric CO2 absorption deviations (filled: H < 10)
|
| 3050035
| 47
| | Red | Green | Blue
| | z | | 19.06
| | znorm | | 14.88
| | sky | 14.8 | 14.6 | 14.4
| | S/N | 15.6 | 25.0 | 29.8
| | S/N(c) | 13.9 | 23.6 | 28.4
| | SN(E/C) | 0.91
|
|
|
|
|
|
|
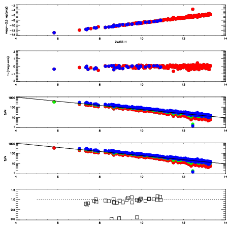
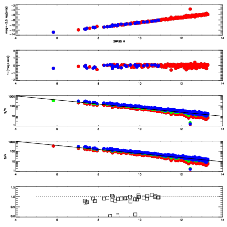
| 3050036
| 47
| | Red | Green | Blue
| | z | | 19.05
| | znorm | | 14.87
| | sky | 14.5 | 14.7 | 14.8
| | S/N | 15.6 | 25.2 | 29.5
| | S/N(c) | 14.0 | 23.8 | 28.1
| | SN(E/C) | 0.91
|
|
|
|
|
|
|
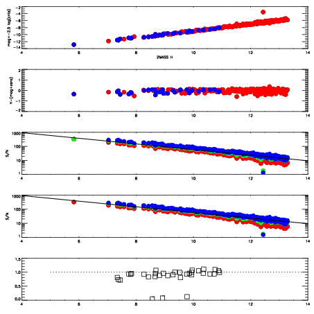
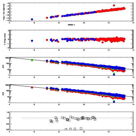
| 3050037
| 47
| | Red | Green | Blue
| | z | | 19.02
| | znorm | | 14.84
| | sky | 15.1 | 14.8 | 14.8
| | S/N | 15.1 | 24.6 | 28.5
| | S/N(c) | 13.6 | 23.0 | 27.4
| | SN(E/C) | 0.93
|
|
|
|
|
|
|
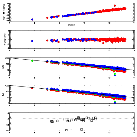
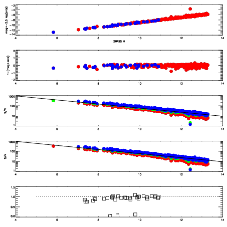
| 3050038
| 47
| | Red | Green | Blue
| | z | | 19.04
| | znorm | | 14.86
| | sky | 14.7 | 14.7 | 15.0
| | S/N | 15.1 | 25.2 | 28.3
| | S/N(c) | 13.7 | 23.6 | 27.1
| | SN(E/C) | 0.94
|
|
|
|
|
|
|
| 3050039
| 47
| | Red | Green | Blue
| | z | | 19.03
| | znorm | | 14.85
| | sky | 14.8 | 14.8 | 15.0
| | S/N | 14.8 | 24.8 | 27.9
| | S/N(c) | 13.3 | 23.3 | 26.7
| | SN(E/C) | 0.92
|
|
|
|
|
|
|
| 3050040
| 47
| | Red | Green | Blue
| | z | | 19.02
| | znorm | | 14.84
| | sky | 14.7 | 14.8 | 14.8
| | S/N | 14.7 | 24.8 | 27.6
| | S/N(c) | 13.2 | 23.3 | 26.6
| | SN(E/C) | 0.95
|
|
|
|
|
|
|
| 3050041
| 47
| | Red | Green | Blue
| | z | | 19.03
| | znorm | | 14.85
| | sky | 14.8 | 14.8 | 15.0
| | S/N | 15.1 | 25.0 | 28.2
| | S/N(c) | 13.6 | 23.4 | 26.9
| | SN(E/C) | 0.94
|
|
|
|
|
|
|
| 3050042
| 47
| | Red | Green | Blue
| | z | | 19.02
| | znorm | | 14.84
| | sky | 14.7 | 14.8 | 15.0
| | S/N | 14.3 | 24.6 | 27.0
| | S/N(c) | 13.0 | 23.1 | 25.7
| | SN(E/C) | 0.90
|
|
|
|
|
|
|