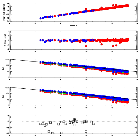
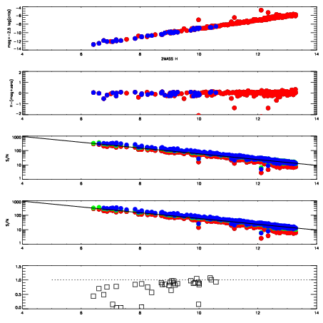
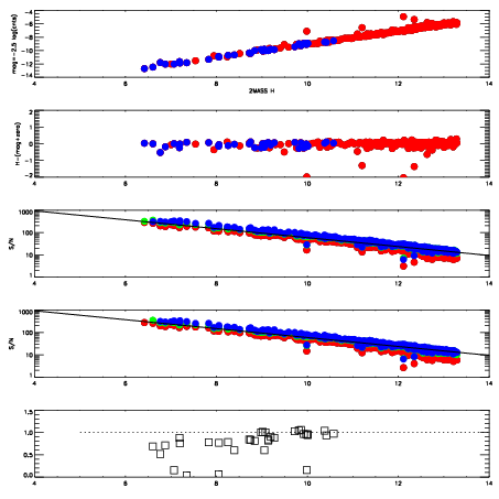
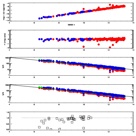
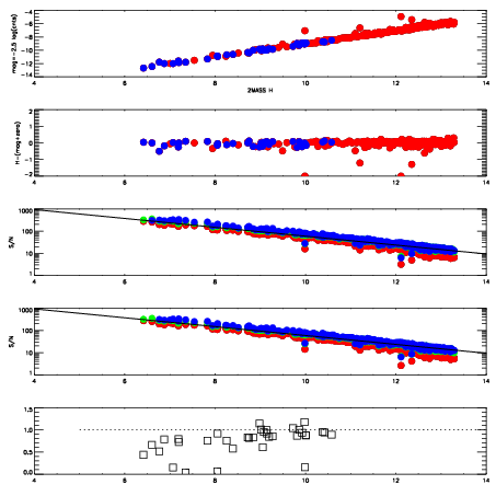
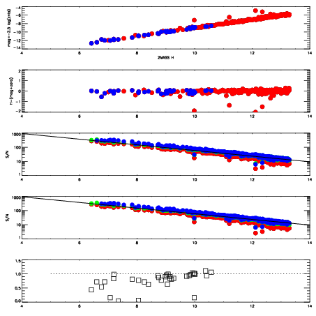
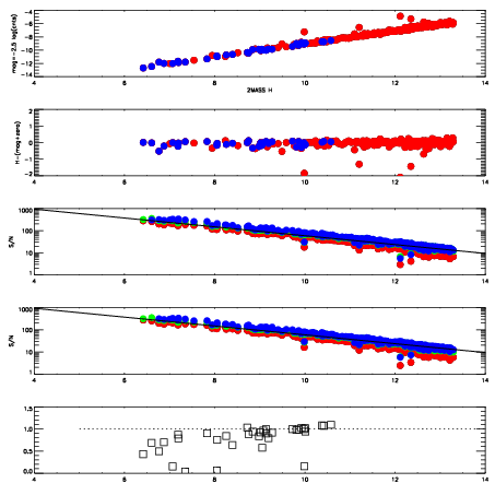
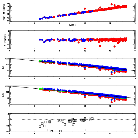
| Frame | Nreads | Zeropoints | Mag plots
| Spatial mag deviation
| Spatial sky 16325A emission deviations (filled: sky, open: star)
| Spatial sky continuum emission
| Spatial sky telluric CO2 absorption deviations (filled: H < 10)
|
| 2900010
| 47
| | Red | Green | Blue
| | z | | 19.08
| | znorm | | 14.90
| | sky | 14.5 | 14.4 | 14.3
| | S/N | 17.6 | 26.6 | 27.4
| | S/N(c) | 15.5 | 25.2 | 26.3
| | SN(E/C) | 0.84
|
|
|
|
|
|
|
| 2900011
| 47
| | Red | Green | Blue
| | z | | 19.05
| | znorm | | 14.87
| | sky | 14.7 | 14.6 | 14.7
| | S/N | 16.9 | 26.3 | 27.2
| | S/N(c) | 15.2 | 24.9 | 26.0
| | SN(E/C) | 0.84
|
|
|
|
|
|
|
| 2900012
| 47
| | Red | Green | Blue
| | z | | 19.08
| | znorm | | 14.89
| | sky | 14.7 | 14.7 | 14.8
| | S/N | 17.0 | 26.5 | 27.4
| | S/N(c) | 15.2 | 25.1 | 26.2
| | SN(E/C) | 0.84
|
|
|
|
|
|
|
| 2900013
| 47
| | Red | Green | Blue
| | z | | 19.06
| | znorm | | 14.88
| | sky | 14.8 | 14.6 | 14.9
| | S/N | 16.8 | 26.2 | 27.7
| | S/N(c) | 14.8 | 24.8 | 26.4
| | SN(E/C) | 0.89
|
|
|
|
|
|
|
| 2900014
| 47
| | Red | Green | Blue
| | z | | 19.06
| | znorm | | 14.88
| | sky | 14.6 | 14.8 | 14.9
| | S/N | 16.5 | 26.4 | 27.6
| | S/N(c) | 14.5 | 24.8 | 26.2
| | SN(E/C) | 0.84
|
|
|
|
|
|
|
| 2900015
| 47
| | Red | Green | Blue
| | z | | 19.08
| | znorm | | 14.90
| | sky | 14.6 | 14.7 | 14.8
| | S/N | 16.7 | 26.6 | 27.8
| | S/N(c) | 14.8 | 24.9 | 26.3
| | SN(E/C) | 0.90
|
|
|
|
|
|
|
| 2900016
| 47
| | Red | Green | Blue
| | z | | 18.99
| | znorm | | 14.81
| | sky | 14.5 | 14.7 | 15.0
| | S/N | 15.8 | 25.5 | 26.6
| | S/N(c) | 13.6 | 24.1 | 25.0
| | SN(E/C) | 0.90
|
|
|
|
|
|
|
| 2900017
| 47
| | Red | Green | Blue
| | z | | 18.59
| | znorm | | 14.41
| | sky | 14.7 | 14.9 | 15.1
| | S/N | 12.1 | 20.5 | 21.8
| | S/N(c) | 10.5 | 19.1 | 20.4
| | SN(E/C) | 0.93
|
|
|
|
|
|
|