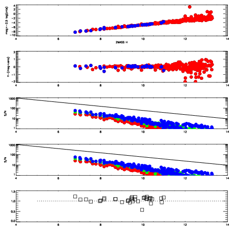
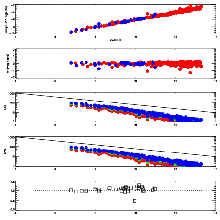
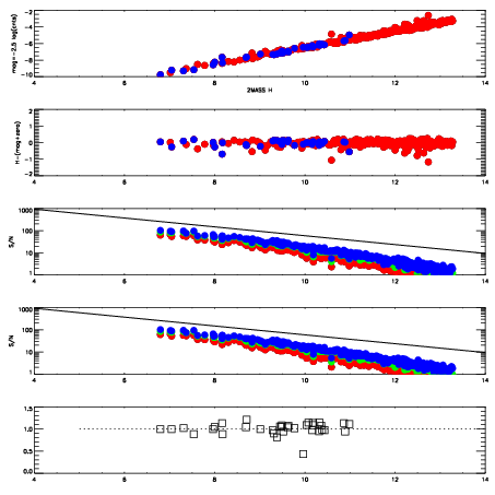
Left plots: red are targets, blue are telluric. Observed mags are calculated from median value of green chip. Zeropoint gives overall throughput: bigger number is more throughput.
First spatial plots: circles are objects, squares are tellurics, crosses are sky fibers. Colors give deviation of observed mag from expected 2MASS mag using the median zeropoint; red is brighter
Second spatial plots: circles are sky fibers. Colors give sky line brightness relative to plate median sky line brightness
FrameNreadsZeropointsMag plots Spatial mag deviation Spatial sky 16325A emission deviations (filled: sky, open: star) Spatial sky continuum emission Spatial sky telluric CO2 absorption deviations (filled: H < 10)
3150016 47
RedGreenBlue
z16.14
znorm11.96
sky 12.9 13.0 13.2
S/N 1.2 2.6 2.4
S/N(c) 1.1 2.2 2.5
SN(E/C) 1.08
3150017 47
RedGreenBlue
z16.51
znorm12.33
sky 13.0 13.0 13.2
S/N 1.7 3.4 3.8
S/N(c) 1.5 3.2 3.7
SN(E/C) 1.02
3150018 47
RedGreenBlue
z14.99
znorm10.81
sky 12.7 12.7 13.0
S/N 0.3 0.7 0.6
S/N(c) 0.2 0.7 0.9
SN(E/C) 1.09
3150019 47
RedGreenBlue
z16.06
znorm11.88
sky 12.8 12.7 12.9
S/N 0.9 1.9 1.7
S/N(c) 0.9 1.9 2.2
SN(E/C) 1.08