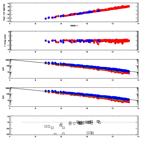
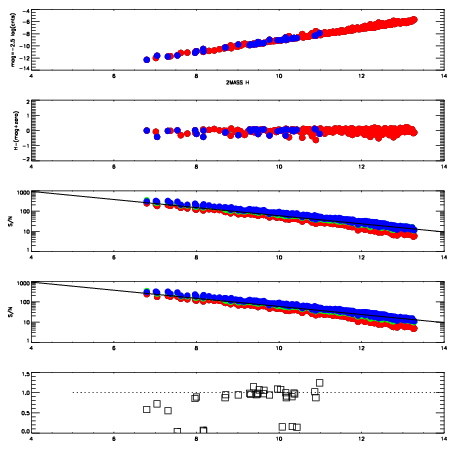
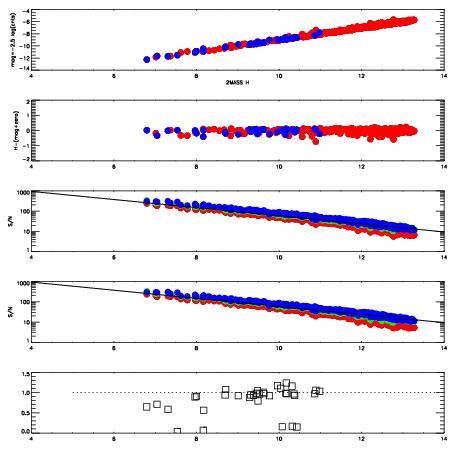
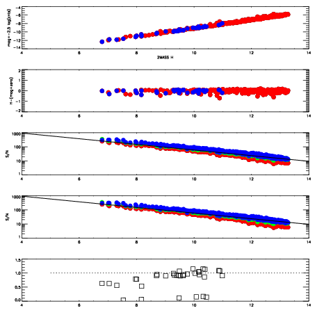
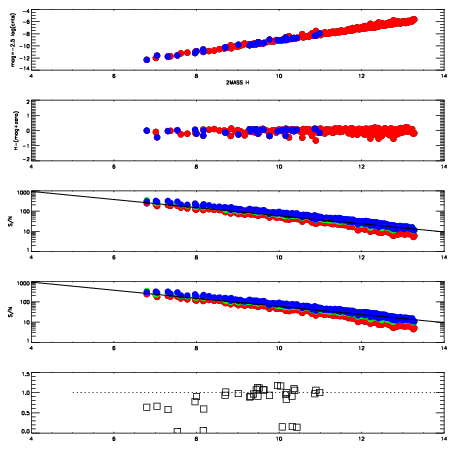
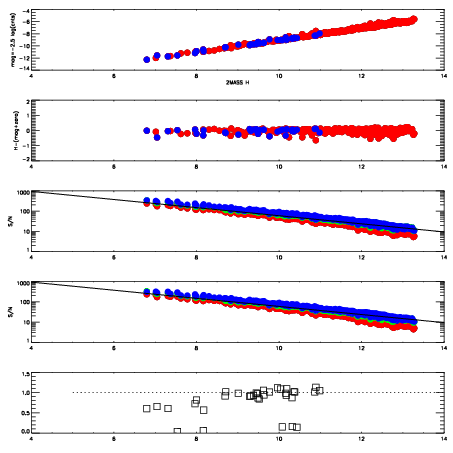
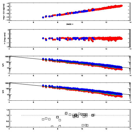
| Frame | Nreads | Zeropoints | Mag plots
| Spatial mag deviation
| Spatial sky 16325A emission deviations (filled: sky, open: star)
| Spatial sky continuum emission
| Spatial sky telluric CO2 absorption deviations (filled: H < 10)
|
| 3340025
| 47
| | Red | Green | Blue
| | z | | 19.14
| | znorm | | 14.96
| | sky | 14.9 | 14.4 | 14.4
| | S/N | 16.7 | 27.4 | 29.3
| | S/N(c) | 14.7 | 25.3 | 27.9
| | SN(E/C) | 0.90
|
|
|
|
|
|
|
| 3340026
| 47
| | Red | Green | Blue
| | z | | 19.08
| | znorm | | 14.90
| | sky | 14.7 | 14.5 | 14.4
| | S/N | 16.2 | 26.8 | 28.4
| | S/N(c) | 14.1 | 25.0 | 27.3
| | SN(E/C) | 0.94
|
|
|
|
|
|
|
| 3340027
| 47
| | Red | Green | Blue
| | z | | 19.04
| | znorm | | 14.86
| | sky | 15.0 | 14.6 | 14.4
| | S/N | 15.6 | 26.1 | 27.7
| | S/N(c) | 13.6 | 24.1 | 26.7
| | SN(E/C) | 0.94
|
|
|
|
|
|
|
| 3340028
| 47
| | Red | Green | Blue
| | z | | 19.07
| | znorm | | 14.89
| | sky | 14.9 | 14.6 | 14.4
| | S/N | 15.8 | 26.5 | 28.3
| | S/N(c) | 14.0 | 24.7 | 27.3
| | SN(E/C) | 0.97
|
|
|
|
|
|
|
| 3340029
| 47
| | Red | Green | Blue
| | z | | 18.99
| | znorm | | 14.81
| | sky | 14.8 | 14.7 | 14.5
| | S/N | 15.2 | 25.5 | 27.2
| | S/N(c) | 13.0 | 23.7 | 26.0
| | SN(E/C) | 0.97
|
|
|
|
|
|
|
| 3340030
| 47
| | Red | Green | Blue
| | z | | 19.09
| | znorm | | 14.91
| | sky | 14.8 | 14.6 | 14.5
| | S/N | 15.9 | 26.2 | 28.8
| | S/N(c) | 14.1 | 24.3 | 27.6
| | SN(E/C) | 0.94
|
|
|
|
|
|
|
| 3340031
| 47
| | Red | Green | Blue
| | z | | 19.10
| | znorm | | 14.92
| | sky | 15.0 | 14.8 | 14.5
| | S/N | 16.0 | 26.3 | 29.1
| | S/N(c) | 14.2 | 24.5 | 27.7
| | SN(E/C) | 0.93
|
|
|
|
|
|
|
| 3340032
| 47
| | Red | Green | Blue
| | z | | 19.08
| | znorm | | 14.90
| | sky | 15.2 | 14.7 | 14.5
| | S/N | 15.7 | 25.9 | 28.5
| | S/N(c) | 13.8 | 24.2 | 27.5
| | SN(E/C) | 0.93
|
|
|
|
|
|
|