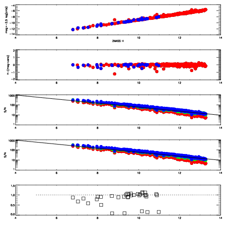
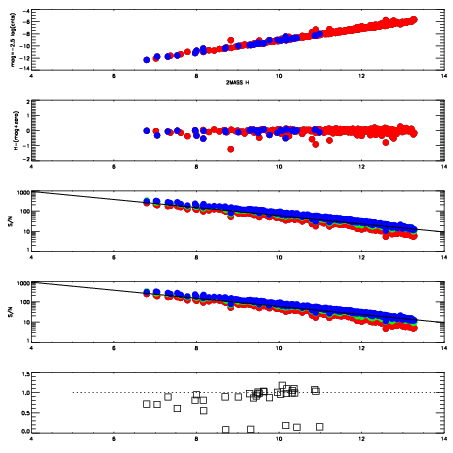
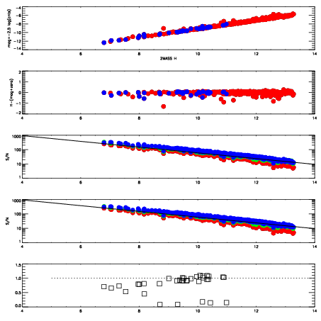
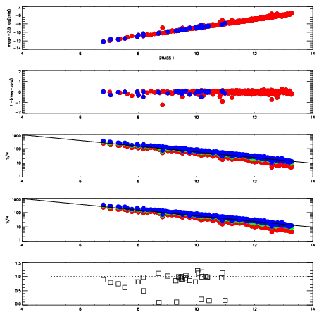
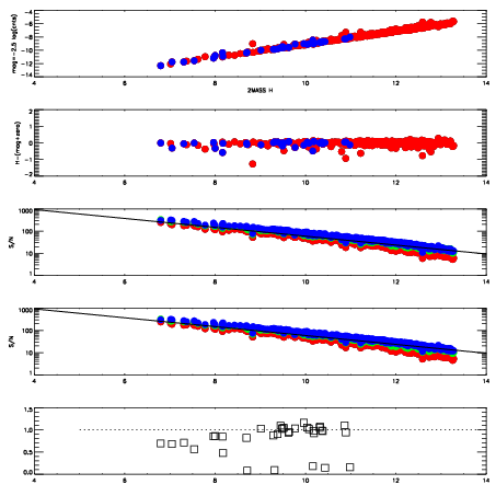
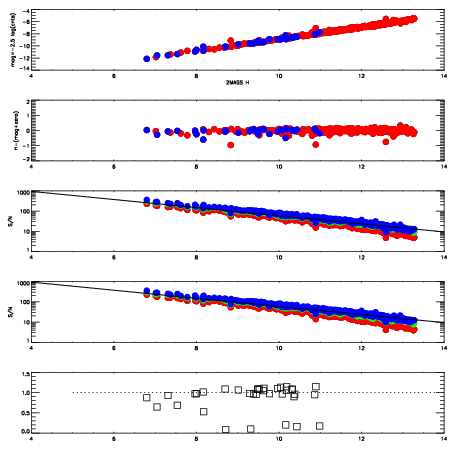
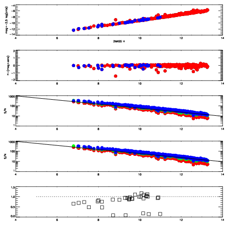
| Frame | Nreads | Zeropoints | Mag plots
| Spatial mag deviation
| Spatial sky 16325A emission deviations (filled: sky, open: star)
| Spatial sky continuum emission
| Spatial sky telluric CO2 absorption deviations (filled: H < 10)
|
| 6060047
| 47
| | Red | Green | Blue
| | z | | 18.90
| | znorm | | 14.72
| | sky | 14.9 | 14.6 | 14.3
| | S/N | 14.7 | 24.1 | 25.1
| | S/N(c) | 12.9 | 22.4 | 24.6
| | SN(E/C) | 0.97
|
|
|
|
|
|
|
| 6060048
| 47
| | Red | Green | Blue
| | z | | 18.97
| | znorm | | 14.79
| | sky | 14.7 | 14.6 | 14.7
| | S/N | 14.6 | 24.8 | 26.4
| | S/N(c) | 13.0 | 23.2 | 25.2
| | SN(E/C) | 0.94
|
|
|
|
|
|
|
| 6060049
| 47
| | Red | Green | Blue
| | z | | 19.05
| | znorm | | 14.87
| | sky | 15.0 | 14.7 | 14.6
| | S/N | 15.4 | 26.0 | 27.3
| | S/N(c) | 13.6 | 24.2 | 26.4
| | SN(E/C) | 0.92
|
|
|
|
|
|
|
| 6060050
| 47
| | Red | Green | Blue
| | z | | 19.12
| | znorm | | 14.94
| | sky | 14.6 | 14.7 | 14.6
| | S/N | 16.2 | 26.9 | 28.4
| | S/N(c) | 14.4 | 25.3 | 27.5
| | SN(E/C) | 0.94
|
|
|
|
|
|
|
| 6060051
| 47
| | Red | Green | Blue
| | z | | 19.12
| | znorm | | 14.94
| | sky | 14.7 | 14.7 | 14.6
| | S/N | 16.2 | 27.1 | 28.7
| | S/N(c) | 14.5 | 25.2 | 27.6
| | SN(E/C) | 0.94
|
|
|
|
|
|
|
| 6060052
| 47
| | Red | Green | Blue
| | z | | 19.10
| | znorm | | 14.92
| | sky | 14.7 | 14.8 | 14.7
| | S/N | 16.3 | 26.9 | 28.6
| | S/N(c) | 14.3 | 25.3 | 27.5
| | SN(E/C) | 0.91
|
|
|
|
|
|
|
| 6060053
| 47
| | Red | Green | Blue
| | z | | 19.17
| | znorm | | 14.99
| | sky | 14.7 | 14.7 | 14.7
| | S/N | 17.1 | 28.1 | 29.5
| | S/N(c) | 15.1 | 26.5 | 28.3
| | SN(E/C) | 0.89
|
|
|
|
|
|
|
| 6060054
| 47
| | Red | Green | Blue
| | z | | 19.16
| | znorm | | 14.98
| | sky | 14.8 | 14.6 | 14.7
| | S/N | 16.8 | 28.0 | 29.3
| | S/N(c) | 14.9 | 26.3 | 28.2
| | SN(E/C) | 0.91
|
|
|
|
|
|
|