PLATE: 5265 MJD: 55906 FIELD: 120-08

FrameCartsec zseeingNreadsDitherPixshiftZerosky continuumS/NS/N(c)
3440019 5 1.08 1.48 47 0.00 -0.00 19.02 [14.43,14.07,14.10] [ 15.1, 24.5, 26.9] [ 13.3, 22.8, 25.3]
3440020 5 1.08 1.12 47 0.42 -0.00 18.35 [13.70,13.50,13.69] [ 9.3, 15.8, 17.2] [ 7.8, 14.5, 16.0]
3440021 5 1.08 1.31 47 0.44 -0.00 17.83 [13.45,13.33,13.48] [ 5.6, 10.5, 11.0] [ 4.9, 9.4, 10.0]
3440022 5 1.08 1.17 47 -0.01 -0.00 17.69 [13.42,13.37,13.54] [ 5.3, 9.7, 10.3] [ 4.4, 8.6, 9.2]
3440023 5 1.08 NaN 47 -0.02 0.00 17.72 [13.49,13.44,13.64] [ 5.3, 10.2, 10.7] [ 4.5, 9.1, 9.7]
3440024 5 1.08 1.63 47 0.43 -0.00 18.16 [13.76,13.74,13.87] [ 7.6, 13.9, 14.8] [ 6.6, 12.5, 13.7]
3440025 5 1.08 1.58 47 0.42 0.00 18.54 [14.19,14.08,14.25] [ 10.3, 18.6, 19.6] [ 8.9, 17.0, 18.2]
3440026 5 1.09 2.20 47 -0.01 -0.00 18.20 [13.89,13.83,13.95] [ 8.1, 14.6, 15.3] [ 7.3, 13.4, 14.5]

IPAIRNAMESHIFTNEWSHIFTS/N NAMESHIFTNEWSHIFTS/N
0 03440021 0.438 0.000 190.81 03440023 -0.016 0.453 0.00
1 03440025 0.419 0.019 254.12 03440019 0.000 0.438 320.70
2 03440020 0.424 0.013 234.39 03440026 -0.011 0.448 216.96
3 03440024 0.425 0.012 217.24 03440022 -0.010 0.448 172.43

Visit (multiple exposure and dither combined) spectra

FrameZeropointsMag plots Spatial mag deviation Spatial sky 16325A emission deviations (filled: sky, open: star) Spatial sky continuum emission Spatial sky telluric CO2 absorption deviations (filled: H < 10)
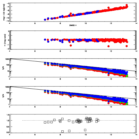
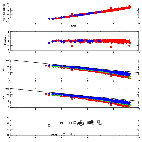
3440019
RedGreenBlue
z19.02
znorm14.84
sky 14.4 14.1 14.1
S/N 15.1 24.5 26.9
S/N(c) 13.3 22.8 25.3
SN(E/C) 0.95
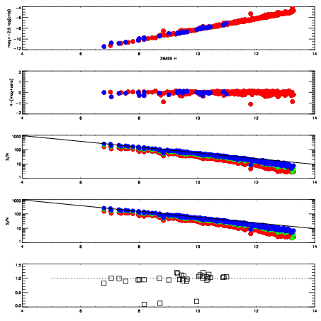
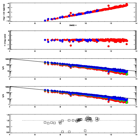
3440020
RedGreenBlue
z18.35
znorm14.17
sky 13.7 13.5 13.7
S/N 9.3 15.8 17.2
S/N(c) 7.8 14.5 16.0
SN(E/C) 1.01
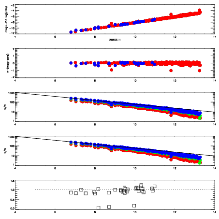
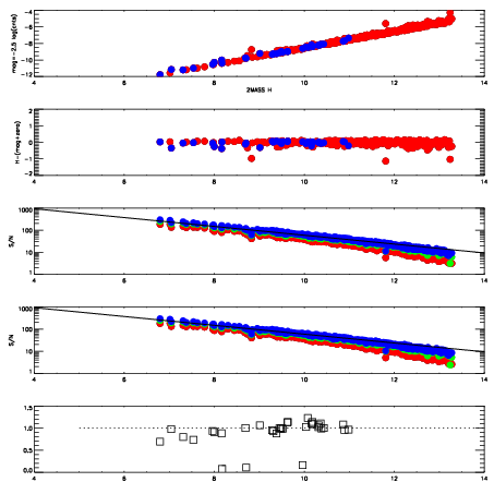
3440021
RedGreenBlue
z17.83
znorm13.65
sky 13.4 13.3 13.5
S/N 5.6 10.5 11.0
S/N(c) 4.9 9.4 10.0
SN(E/C) 1.03
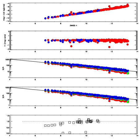
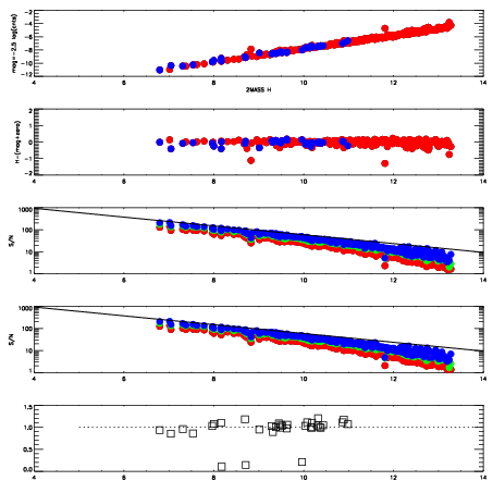
3440022
RedGreenBlue
z17.69
znorm13.51
sky 13.4 13.4 13.5
S/N 5.3 9.7 10.3
S/N(c) 4.4 8.6 9.2
SN(E/C) 0.97
3440023
RedGreenBlue
z17.72
znorm13.54
sky 13.5 13.4 13.6
S/N 5.3 10.2 10.7
S/N(c) 4.5 9.1 9.7
SN(E/C) 0.99
3440024
RedGreenBlue
z18.16
znorm13.98
sky 13.8 13.7 13.9
S/N 7.6 13.9 14.8
S/N(c) 6.6 12.5 13.7
SN(E/C) 0.96
3440025
RedGreenBlue
z18.54
znorm14.36
sky 14.2 14.1 14.2
S/N 10.3 18.6 19.6
S/N(c) 8.9 17.0 18.2
SN(E/C) 0.99
3440026
RedGreenBlue
z18.20
znorm14.02
sky 13.9 13.8 13.9
S/N 8.1 14.6 15.3
S/N(c) 7.3 13.4 14.5
SN(E/C) 1.00