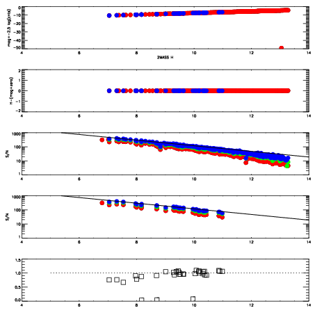
Left plots: red are targets, blue are telluric. Observed mags are calculated from median value of green chip. Zeropoint gives overall throughput: bigger number is more throughput.
First spatial plots: circles are objects, squares are tellurics, crosses are sky fibers. Colors give deviation of observed mag from expected 2MASS mag using the median zeropoint; red is brighter
Second spatial plots: circles are sky fibers. Colors give sky line brightness relative to plate median sky line brightness
FrameNreadsZeropointsMag plots Spatial mag deviation Spatial sky 16325A emission deviations (filled: sky, open: star) Spatial sky continuum emission Spatial sky telluric CO2 absorption deviations (filled: H < 10)
0 0
RedGreenBlue
z17.64
znorm Inf
sky -Inf -Inf -Inf
S/N 14.9 27.4 29.9
S/N(c) 0.0 0.0 0.0
SN(E/C) 0.96

IPAIRNAMESHIFTNEWSHIFTS/N NAMESHIFTNEWSHIFTS/N
0 03440021 0.437610 0.00000 190.809 03440023 -0.0157445 0.453355 0.00000
1 03440025 0.418609 0.0190010 254.118 03440019 0.00000 0.437610 320.697
2 03440020 0.424235 0.0133750 234.390 03440026 -0.0108498 0.448460 216.958
3 03440024 0.425330 0.0122800 217.237 03440022 -0.0101625 0.447773 172.430