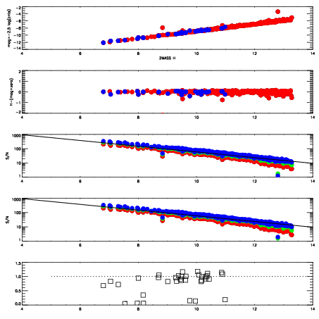
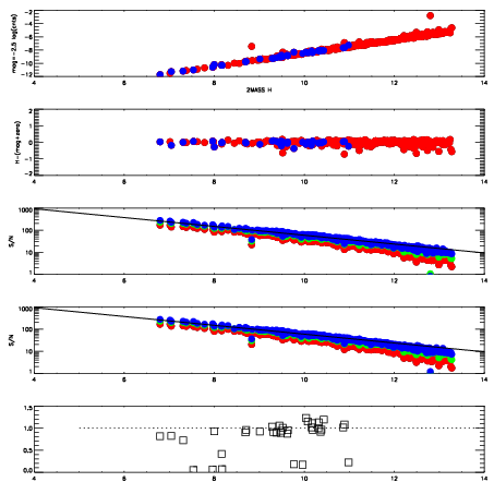
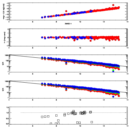
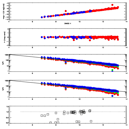
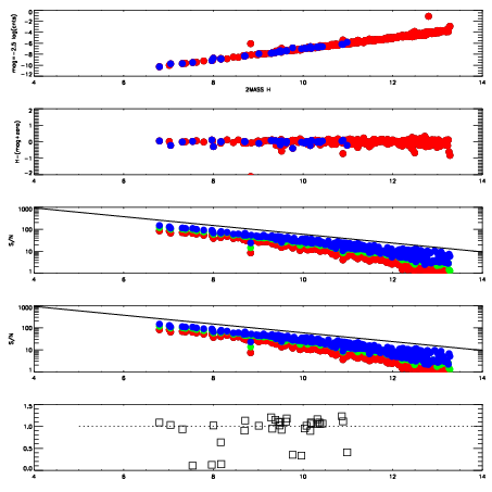
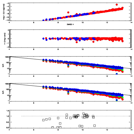
Frame | Nreads | Zeropoints | Mag plots
| Spatial mag deviation
| Spatial sky 16325A emission deviations (filled: sky, open: star)
| Spatial sky continuum emission
| Spatial sky telluric CO2 absorption deviations (filled: H < 10)
|
6620043
| 47
| | Red | Green | Blue
| z | | 18.61
| znorm | | 14.43
| sky | 14.4 | 14.3 | 14.5
| S/N | 11.4 | 19.2 | 21.3
| S/N(c) | 9.8 | 17.9 | 20.2
| SN(E/C) | 0.92
|
|
|
|
|
|
|
6620044
| 47
| | Red | Green | Blue
| z | | 18.91
| znorm | | 14.73
| sky | 14.3 | 14.3 | 14.7
| S/N | 13.7 | 23.3 | 25.0
| S/N(c) | 12.1 | 21.5 | 23.2
| SN(E/C) | 0.92
|
|
|
|
|
|
|
6620045
| 47
| | Red | Green | Blue
| z | | 18.89
| znorm | | 14.71
| sky | 14.6 | 14.4 | 14.7
| S/N | 13.8 | 23.1 | 24.9
| S/N(c) | 12.0 | 21.4 | 22.7
| SN(E/C) | 0.91
|
|
|
|
|
|
|
6620046
| 47
| | Red | Green | Blue
| z | | 18.97
| znorm | | 14.79
| sky | 14.4 | 14.4 | 14.6
| S/N | 14.2 | 24.4 | 26.2
| S/N(c) | 12.6 | 22.7 | 23.9
| SN(E/C) | 0.92
|
|
|
|
|
|
|
6620047
| 47
| | Red | Green | Blue
| z | | 18.94
| znorm | | 14.76
| sky | 14.5 | 14.4 | 14.6
| S/N | 13.8 | 23.7 | 25.3
| S/N(c) | 12.1 | 21.8 | 23.2
| SN(E/C) | 0.92
|
|
|
|
|
|
|
6620048
| 47
| | Red | Green | Blue
| z | | 18.48
| znorm | | 14.30
| sky | 14.2 | 14.4 | 14.7
| S/N | 9.9 | 17.8 | 19.6
| S/N(c) | 8.6 | 16.4 | 18.3
| SN(E/C) | 0.93
|
|
|
|
|
|
|
6620049
| 47
| | Red | Green | Blue
| z | | 17.01
| znorm | | 12.83
| sky | 14.5 | 14.5 | 15.2
| S/N | 2.8 | 6.5 | 7.5
| S/N(c) | 2.5 | 5.9 | 6.8
| SN(E/C) | 1.03
|
|
|
|
|
|
|
6620050
| 47
| | Red | Green | Blue
| z | | 13.64
| znorm | | 9.46
| sky | 14.1 | 14.3 | 15.0
| S/N | -0.0 | 0.1 | -0.0
| S/N(c) | 0.0 | 0.0 | 0.0
| SN(E/C) | 2.33
|
|
|
|
|
|
|