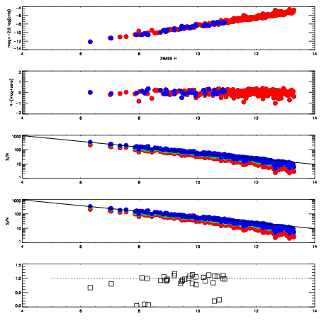
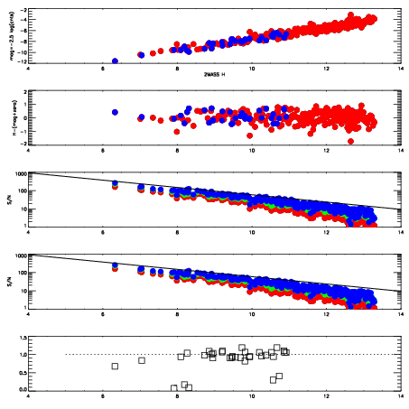
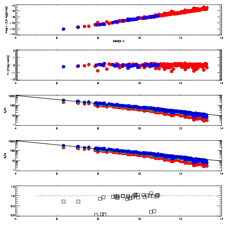
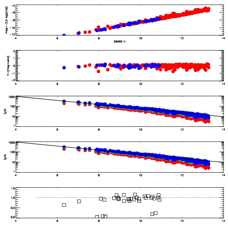
| Frame | Nreads | Zeropoints | Mag plots
| Spatial mag deviation
| Spatial sky 16325A emission deviations (filled: sky, open: star)
| Spatial sky continuum emission
| Spatial sky telluric CO2 absorption deviations (filled: H < 10)
|
| 3070034
| 47
| | Red | Green | Blue
| | z | | 18.93
| | znorm | | 14.75
| | sky | 14.9 | 14.6 | 14.4
| | S/N | 15.8 | 24.9 | 26.0
| | S/N(c) | 14.2 | 23.9 | 24.5
| | SN(E/C) | 0.93
|
|
|
|
|
|
|
| 3070035
| 47
| | Red | Green | Blue
| | z | | 18.98
| | znorm | | 14.80
| | sky | 14.7 | 14.5 | 14.7
| | S/N | 16.1 | 25.8 | 26.8
| | S/N(c) | 14.3 | 24.7 | 25.3
| | SN(E/C) | 0.92
|
|
|
|
|
|
|
| 3070036
| 47
| | Red | Green | Blue
| | z | | 18.86
| | znorm | | 14.68
| | sky | 14.5 | 14.5 | 14.7
| | S/N | 15.1 | 24.2 | 25.0
| | S/N(c) | 13.1 | 23.0 | 23.5
| | SN(E/C) | 0.98
|
|
|
|
|
|
|
| 3070037
| 47
| | Red | Green | Blue
| | z | | 18.58
| | znorm | | 14.40
| | sky | 14.6 | 14.5 | 14.7
| | S/N | 12.2 | 20.5 | 21.1
| | S/N(c) | 10.6 | 19.4 | 19.6
| | SN(E/C) | 0.94
|
|
|
|
|
|
|
| 3070038
| 47
| | Red | Green | Blue
| | z | | 18.48
| | znorm | | 14.30
| | sky | 14.8 | 14.5 | 14.7
| | S/N | 11.6 | 19.7 | 20.0
| | S/N(c) | 9.9 | 18.6 | 18.7
| | SN(E/C) | 0.96
|
|
|
|
|
|
|
| 3070039
| 47
| | Red | Green | Blue
| | z | | 18.59
| | znorm | | 14.41
| | sky | 14.6 | 14.6 | 14.8
| | S/N | 12.5 | 21.1 | 22.2
| | S/N(c) | 10.8 | 19.6 | 20.8
| | SN(E/C) | 0.96
|
|
|
|
|
|
|
| 3070040
| 47
| | Red | Green | Blue
| | z | | 18.47
| | znorm | | 14.29
| | sky | 14.7 | 14.7 | 14.9
| | S/N | 12.0 | 21.2 | 22.0
| | S/N(c) | 10.5 | 19.6 | 20.1
| | SN(E/C) | 0.96
|
|
|
|
|
|
|
| 3070041
| 47
| | Red | Green | Blue
| | z | | 17.50
| | znorm | | 13.32
| | sky | 14.9 | 14.7 | 15.0
| | S/N | 6.2 | 12.1 | 12.2
| | S/N(c) | 5.4 | 11.2 | 10.9
| | SN(E/C) | 0.95
|
|
|
|
|
|
|