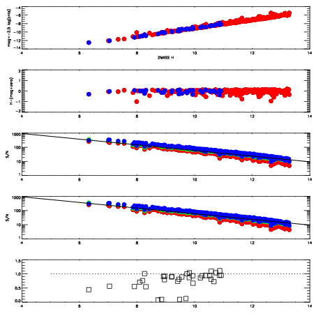
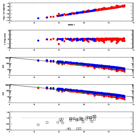
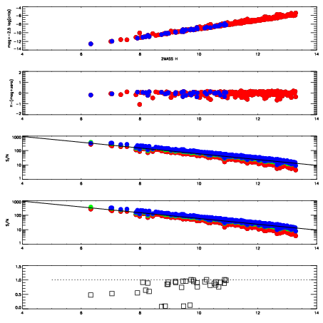
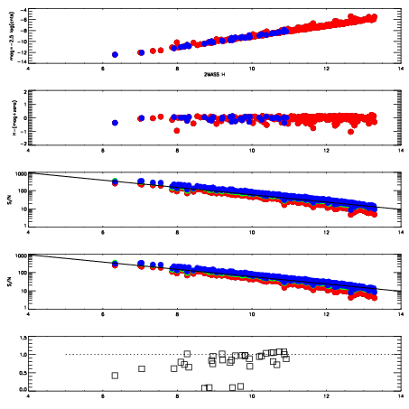
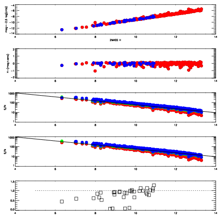
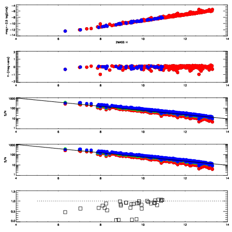
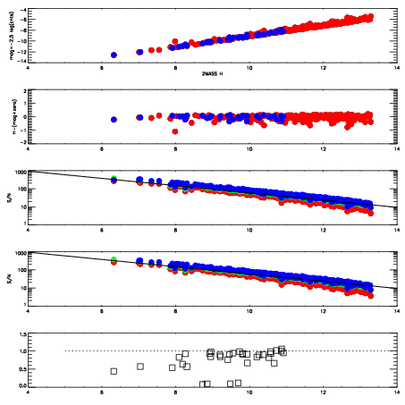
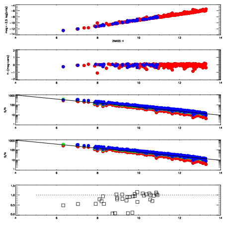
| Frame | Nreads | Zeropoints | Mag plots
| Spatial mag deviation
| Spatial sky 16325A emission deviations (filled: sky, open: star)
| Spatial sky continuum emission
| Spatial sky telluric CO2 absorption deviations (filled: H < 10)
|
| 6110058
| 47
| | Red | Green | Blue
| | z | | 19.08
| | znorm | | 14.90
| | sky | 14.3 | 14.2 | 14.5
| | S/N | 16.8 | 26.7 | 28.4
| | S/N(c) | 15.0 | 25.6 | 26.3
| | SN(E/C) | 0.88
|
|
|
|
|
|
|
| 6110059
| 47
| | Red | Green | Blue
| | z | | 19.12
| | znorm | | 14.94
| | sky | 14.4 | 14.3 | 14.6
| | S/N | 17.1 | 27.1 | 29.1
| | S/N(c) | 15.3 | 25.6 | 26.9
| | SN(E/C) | 0.89
|
|
|
|
|
|
|
| 6110060
| 47
| | Red | Green | Blue
| | z | | 19.12
| | znorm | | 14.94
| | sky | 14.3 | 14.3 | 14.7
| | S/N | 16.9 | 27.4 | 29.2
| | S/N(c) | 15.1 | 25.8 | 27.3
| | SN(E/C) | 0.90
|
|
|
|
|
|
|
| 6110061
| 47
| | Red | Green | Blue
| | z | | 19.08
| | znorm | | 14.90
| | sky | 14.4 | 14.4 | 14.8
| | S/N | 16.3 | 27.1 | 28.5
| | S/N(c) | 14.6 | 25.4 | 26.8
| | SN(E/C) | 0.86
|
|
|
|
|
|
|
| 6110062
| 47
| | Red | Green | Blue
| | z | | 19.11
| | znorm | | 14.93
| | sky | 14.4 | 14.4 | 14.7
| | S/N | 17.1 | 27.3 | 29.2
| | S/N(c) | 15.3 | 25.7 | 27.3
| | SN(E/C) | 0.90
|
|
|
|
|
|
|
| 6110063
| 47
| | Red | Green | Blue
| | z | | 19.11
| | znorm | | 14.93
| | sky | 14.4 | 14.4 | 14.6
| | S/N | 16.9 | 27.4 | 29.0
| | S/N(c) | 15.2 | 25.7 | 27.2
| | SN(E/C) | 0.86
|
|
|
|
|
|
|
| 6110064
| 47
| | Red | Green | Blue
| | z | | 19.09
| | znorm | | 14.91
| | sky | 14.2 | 14.4 | 14.6
| | S/N | 16.6 | 27.3 | 28.5
| | S/N(c) | 15.1 | 25.5 | 26.8
| | SN(E/C) | 0.86
|
|
|
|
|
|
|
| 6110065
| 47
| | Red | Green | Blue
| | z | | 19.09
| | znorm | | 14.91
| | sky | 14.3 | 14.4 | 14.6
| | S/N | 16.7 | 27.6 | 28.6
| | S/N(c) | 15.0 | 25.9 | 27.0
| | SN(E/C) | 0.85
|
|
|
|
|
|
|