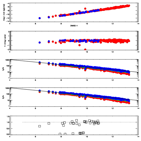
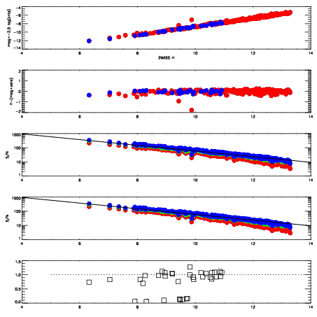
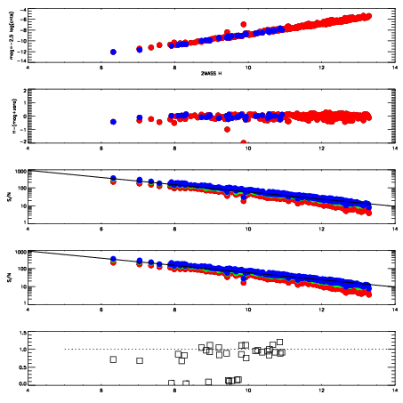
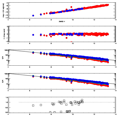
| Frame | Nreads | Zeropoints | Mag plots
| Spatial mag deviation
| Spatial sky 16325A emission deviations (filled: sky, open: star)
| Spatial sky continuum emission
| Spatial sky telluric CO2 absorption deviations (filled: H < 10)
|
| 3090034
| 47
| | Red | Green | Blue
| | z | | 18.72
| | znorm | | 14.54
| | sky | 15.3 | 14.7 | 14.8
| | S/N | 12.4 | 20.9 | 23.8
| | S/N(c) | 10.9 | 19.8 | 22.2
| | SN(E/C) | 0.93
|
|
|
|
|
|
|
| 3090035
| 47
| | Red | Green | Blue
| | z | | 18.85
| | znorm | | 14.67
| | sky | 15.3 | 14.7 | 15.0
| | S/N | 13.4 | 22.6 | 26.2
| | S/N(c) | 11.9 | 21.3 | 24.3
| | SN(E/C) | 0.89
|
|
|
|
|
|
|
| 3090036
| 47
| | Red | Green | Blue
| | z | | 18.82
| | znorm | | 14.64
| | sky | 14.9 | 14.7 | 15.1
| | S/N | 13.3 | 22.6 | 25.6
| | S/N(c) | 11.6 | 21.2 | 23.6
| | SN(E/C) | 0.93
|
|
|
|
|
|
|
| 3090037
| 47
| | Red | Green | Blue
| | z | | 18.81
| | znorm | | 14.63
| | sky | 15.2 | 14.9 | 15.1
| | S/N | 13.5 | 22.5 | 25.3
| | S/N(c) | 12.0 | 21.0 | 23.5
| | SN(E/C) | 0.92
|
|
|
|
|
|
|
| 3090038
| 47
| | Red | Green | Blue
| | z | | 18.76
| | znorm | | 14.58
| | sky | 15.0 | 14.9 | 15.3
| | S/N | 12.9 | 22.1 | 24.4
| | S/N(c) | 11.5 | 20.5 | 22.7
| | SN(E/C) | 0.94
|
|
|
|
|
|
|
| 3090039
| 47
| | Red | Green | Blue
| | z | | 18.74
| | znorm | | 14.56
| | sky | 15.1 | 15.1 | 15.2
| | S/N | 12.7 | 21.7 | 23.8
| | S/N(c) | 11.3 | 20.2 | 21.9
| | SN(E/C) | 0.92
|
|
|
|
|
|
|
| 3090040
| 47
| | Red | Green | Blue
| | z | | 18.78
| | znorm | | 14.60
| | sky | 15.0 | 14.9 | 15.1
| | S/N | 13.2 | 22.3 | 24.0
| | S/N(c) | 11.8 | 20.4 | 22.3
| | SN(E/C) | 0.92
|
|
|
|
|
|
|
| 3090041
| 47
| | Red | Green | Blue
| | z | | 18.81
| | znorm | | 14.63
| | sky | 15.2 | 14.9 | 15.3
| | S/N | 13.3 | 22.7 | 24.6
| | S/N(c) | 11.6 | 20.9 | 22.7
| | SN(E/C) | 0.88
|
|
|
|
|
|
|