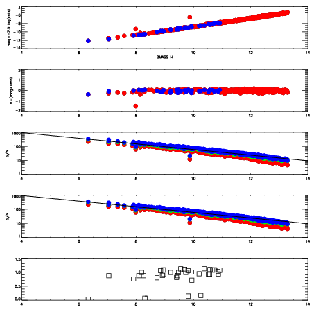
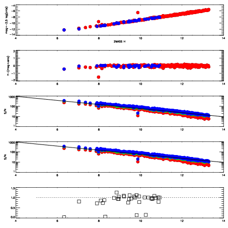
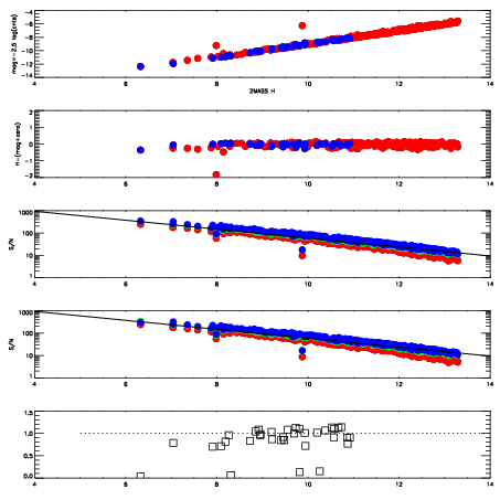
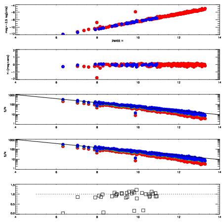
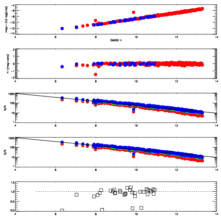
| Frame | Nreads | Zeropoints | Mag plots
| Spatial mag deviation
| Spatial sky 16325A emission deviations (filled: sky, open: star)
| Spatial sky continuum emission
| Spatial sky telluric CO2 absorption deviations (filled: H < 10)
|
| 6420044
| 47
| | Red | Green | Blue
| | z | | 18.49
| | znorm | | 14.31
| | sky | 14.2 | 14.0 | 14.2
| | S/N | 9.7 | 16.8 | 21.0
| | S/N(c) | 8.4 | 15.5 | 19.6
| | SN(E/C) | 0.98
|
|
|
|
|
|
|
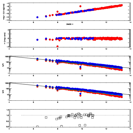
| 6420045
| 47
| | Red | Green | Blue
| | z | | 18.78
| | znorm | | 14.60
| | sky | 14.2 | 14.2 | 14.6
| | S/N | 11.8 | 20.2 | 24.4
| | S/N(c) | 10.4 | 18.5 | 22.8
| | SN(E/C) | 0.95
|
|
|
|
|
|
|
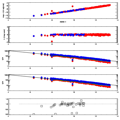
| 6420046
| 47
| | Red | Green | Blue
| | z | | 19.04
| | znorm | | 14.86
| | sky | 14.5 | 14.4 | 14.7
| | S/N | 13.9 | 23.6 | 27.1
| | S/N(c) | 12.3 | 21.8 | 25.8
| | SN(E/C) | 0.91
|
|
|
|
|
|
|
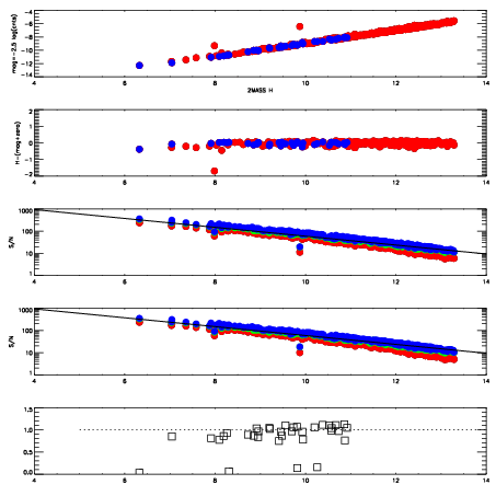
| 6420047
| 47
| | Red | Green | Blue
| | z | | 18.97
| | znorm | | 14.79
| | sky | 14.4 | 14.4 | 14.6
| | S/N | 13.2 | 22.7 | 26.2
| | S/N(c) | 11.9 | 20.9 | 24.9
| | SN(E/C) | 0.97
|
|
|
|
|
|
|
| 6420048
| 47
| | Red | Green | Blue
| | z | | 18.99
| | znorm | | 14.81
| | sky | 14.5 | 14.5 | 14.8
| | S/N | 13.6 | 22.9 | 26.2
| | S/N(c) | 12.1 | 21.0 | 24.8
| | SN(E/C) | 0.96
|
|
|
|
|
|
|
| 6420049
| 47
| | Red | Green | Blue
| | z | | 18.81
| | znorm | | 14.63
| | sky | 14.6 | 14.5 | 14.7
| | S/N | 12.1 | 20.9 | 24.2
| | S/N(c) | 10.8 | 19.0 | 22.9
| | SN(E/C) | 0.94
|
|
|
|
|
|
|
| 6420050
| 47
| | Red | Green | Blue
| | z | | 18.80
| | znorm | | 14.62
| | sky | 14.5 | 14.4 | 14.8
| | S/N | 12.1 | 20.8 | 23.6
| | S/N(c) | 10.6 | 19.1 | 22.3
| | SN(E/C) | 0.95
|
|
|
|
|
|
|
| 6420051
| 47
| | Red | Green | Blue
| | z | | 19.00
| | znorm | | 14.82
| | sky | 14.7 | 14.5 | 14.8
| | S/N | 13.9 | 23.4 | 25.3
| | S/N(c) | 12.1 | 21.7 | 24.0
| | SN(E/C) | 0.95
|
|
|
|
|
|
|