PLATE: 5268 MJD: 55881 FIELD: 150+00

FrameCartsec zseeingNreadsDitherPixshiftZerosky continuumS/NS/N(c)
3190034 1 1.06 1.19 47 0.00 -0.00 19.18 [15.65,14.88,14.75] [ 17.2, 27.1, 29.4] [ 15.2, 25.6, 27.6]
3190035 1 1.06 1.19 47 0.46 -0.00 19.17 [15.24,14.82,15.21] [ 17.1, 27.0, 29.4] [ 15.1, 25.4, 27.4]
3190036 1 1.06 1.24 47 0.46 -0.00 19.14 [15.02,15.16,15.26] [ 16.7, 26.6, 28.9] [ 14.7, 25.0, 26.9]
3190037 1 1.06 1.37 47 0.02 -0.00 19.19 [15.35,14.91,15.36] [ 17.2, 27.4, 29.8] [ 15.3, 25.8, 27.9]
3190038 1 1.07 1.32 47 0.02 0.00 19.15 [15.11,15.10,15.31] [ 16.6, 26.9, 28.9] [ 14.7, 25.2, 27.2]
3190039 1 1.07 1.35 47 0.46 -0.00 19.08 [15.40,15.21,15.37] [ 16.2, 26.2, 28.1] [ 14.3, 24.5, 26.3]
3190040 1 1.07 1.46 47 0.47 -0.00 19.04 [15.25,15.18,15.31] [ 15.7, 25.8, 27.3] [ 13.8, 24.0, 25.5]
3190041 1 1.08 1.47 47 0.02 0.00 19.06 [15.24,15.11,15.15] [ 15.9, 25.9, 27.6] [ 14.3, 24.2, 25.9]

IPAIRNAMESHIFTNEWSHIFTS/N NAMESHIFTNEWSHIFTS/N
0 03190040 0.470 0.000 232.24 03190041 0.022 0.448 234.28
1 03190035 0.460 0.010 243.48 03190037 0.019 0.451 244.90
2 03190036 0.462 0.008 240.05 03190034 0.000 0.470 243.62
3 03190039 0.463 0.007 236.24 03190038 0.020 0.451 240.88

Visit (multiple exposure and dither combined) spectra

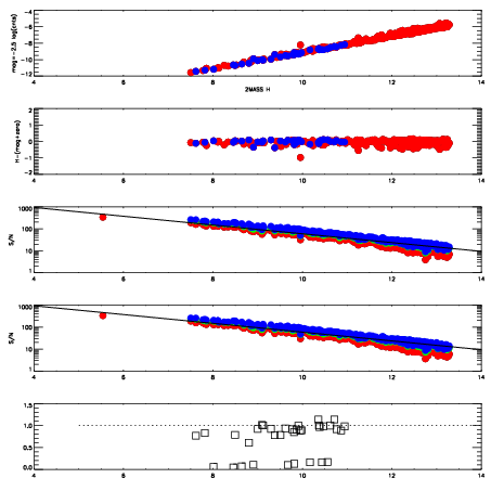
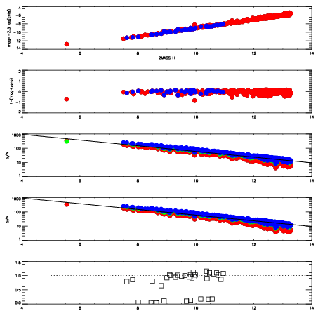
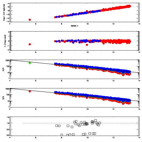
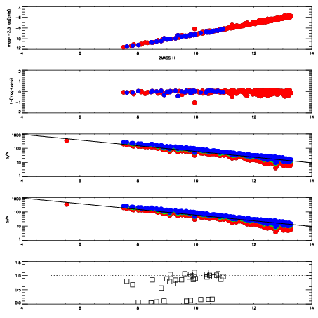
FrameZeropointsMag plots Spatial mag deviation Spatial sky 16325A emission deviations (filled: sky, open: star) Spatial sky continuum emission Spatial sky telluric CO2 absorption deviations (filled: H < 10)
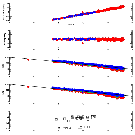
3190034
RedGreenBlue
z19.18
znorm14.99
sky 15.7 14.9 14.8
S/N 17.2 27.1 29.4
S/N(c) 15.2 25.6 27.6
SN(E/C) 0.87
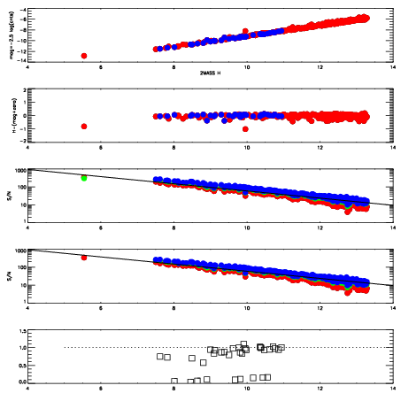
3190035
RedGreenBlue
z19.17
znorm14.99
sky 15.2 14.8 15.2
S/N 17.1 27.0 29.4
S/N(c) 15.1 25.4 27.4
SN(E/C) 0.86
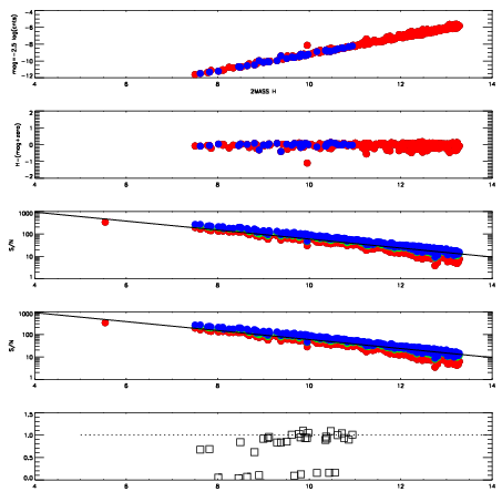
3190036
RedGreenBlue
z19.14
znorm14.96
sky 15.0 15.2 15.3
S/N 16.7 26.6 28.9
S/N(c) 14.7 25.0 26.9
SN(E/C) 0.92
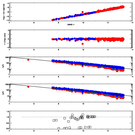
3190037
RedGreenBlue
z19.19
znorm15.01
sky 15.3 14.9 15.4
S/N 17.2 27.4 29.8
S/N(c) 15.3 25.8 27.9
SN(E/C) 0.89
3190038
RedGreenBlue
z19.15
znorm14.97
sky 15.1 15.1 15.3
S/N 16.6 26.9 28.9
S/N(c) 14.7 25.2 27.2
SN(E/C) 0.89
3190039
RedGreenBlue
z19.08
znorm14.90
sky 15.4 15.2 15.4
S/N 16.2 26.2 28.1
S/N(c) 14.3 24.5 26.3
SN(E/C) 0.91
3190040
RedGreenBlue
z19.04
znorm14.86
sky 15.2 15.2 15.3
S/N 15.7 25.8 27.3
S/N(c) 13.8 24.0 25.5
SN(E/C) 0.94
3190041
RedGreenBlue
z19.06
znorm14.88
sky 15.2 15.1 15.1
S/N 15.9 25.9 27.6
S/N(c) 14.3 24.2 25.9
SN(E/C) 0.90