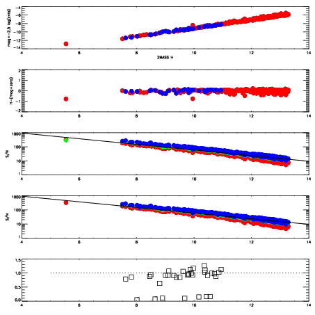
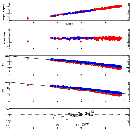
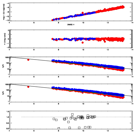
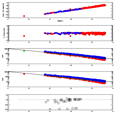
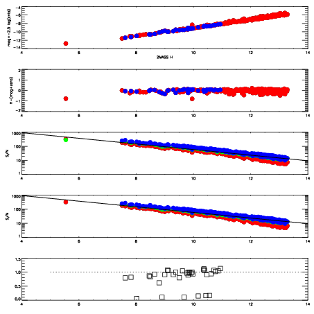
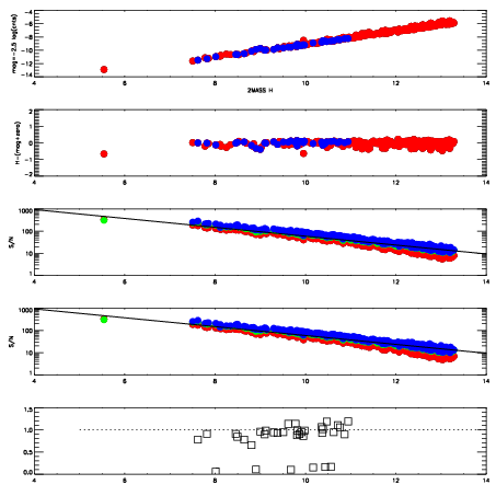
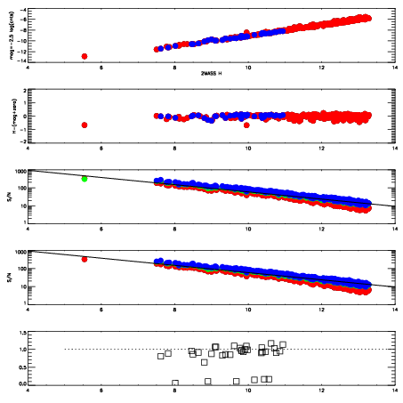
| Frame | Nreads | Zeropoints | Mag plots
| Spatial mag deviation
| Spatial sky 16325A emission deviations (filled: sky, open: star)
| Spatial sky continuum emission
| Spatial sky telluric CO2 absorption deviations (filled: H < 10)
|
| 3640029
| 47
| | Red | Green | Blue
| | z | | 19.10
| | znorm | | 14.92
| | sky | 15.1 | 14.6 | 14.7
| | S/N | 16.4 | 26.2 | 28.2
| | S/N(c) | 14.6 | 24.5 | 26.9
| | SN(E/C) | 0.93
|
|
|
|
|
|
|
| 3640030
| 47
| | Red | Green | Blue
| | z | | 19.10
| | znorm | | 14.92
| | sky | 15.1 | 14.7 | 14.9
| | S/N | 16.4 | 26.4 | 28.3
| | S/N(c) | 14.3 | 24.7 | 26.5
| | SN(E/C) | 0.94
|
|
|
|
|
|
|
| 3640031
| 47
| | Red | Green | Blue
| | z | | 19.07
| | znorm | | 14.89
| | sky | 15.2 | 14.8 | 14.8
| | S/N | 15.9 | 25.8 | 27.5
| | S/N(c) | 14.1 | 24.2 | 26.2
| | SN(E/C) | 0.92
|
|
|
|
|
|
|
| 3640032
| 47
| | Red | Green | Blue
| | z | | 19.13
| | znorm | | 14.95
| | sky | 15.3 | 14.9 | 15.0
| | S/N | 16.5 | 26.9 | 28.6
| | S/N(c) | 14.8 | 25.1 | 26.8
| | SN(E/C) | 0.93
|
|
|
|
|
|
|
| 3640033
| 47
| | Red | Green | Blue
| | z | | 19.11
| | znorm | | 14.93
| | sky | 14.8 | 14.8 | 15.0
| | S/N | 16.3 | 26.2 | 27.9
| | S/N(c) | 14.8 | 24.5 | 26.7
| | SN(E/C) | 0.94
|
|
|
|
|
|
|
| 3640034
| 47
| | Red | Green | Blue
| | z | | 19.09
| | znorm | | 14.91
| | sky | 14.9 | 14.9 | 15.0
| | S/N | 15.9 | 26.0 | 27.9
| | S/N(c) | 14.2 | 24.5 | 26.6
| | SN(E/C) | 0.93
|
|
|
|
|
|
|
| 3640035
| 47
| | Red | Green | Blue
| | z | | 19.12
| | znorm | | 14.94
| | sky | 15.0 | 15.0 | 15.0
| | S/N | 16.6 | 27.0 | 28.7
| | S/N(c) | 14.9 | 25.1 | 26.9
| | SN(E/C) | 0.92
|
|
|
|
|
|
|
| 3640036
| 47
| | Red | Green | Blue
| | z | | 19.06
| | znorm | | 14.88
| | sky | 15.1 | 15.1 | 15.0
| | S/N | 15.7 | 25.9 | 27.3
| | S/N(c) | 14.0 | 24.0 | 25.9
| | SN(E/C) | 0.93
|
|
|
|
|
|
|
| 3640037
| 47
| | Red | Green | Blue
| | z | | 19.11
| | znorm | | 14.93
| | sky | 14.7 | 15.1 | 15.0
| | S/N | 16.1 | 26.3 | 28.0
| | S/N(c) | 14.3 | 24.7 | 26.6
| | SN(E/C) | 0.96
|
|
|
|
|
|
|
| 3640038
| 47
| | Red | Green | Blue
| | z | | 19.09
| | znorm | | 14.91
| | sky | 15.2 | 15.0 | 15.1
| | S/N | 16.3 | 26.5 | 28.1
| | S/N(c) | 14.1 | 24.5 | 26.2
| | SN(E/C) | 0.94
|
|
|
|
|
|
|
| 3640039
| 47
| | Red | Green | Blue
| | z | | 19.18
| | znorm | | 15.00
| | sky | 15.1 | 15.0 | 15.0
| | S/N | 17.1 | 28.0 | 29.7
| | S/N(c) | 15.1 | 26.0 | 28.0
| | SN(E/C) | 0.92
|
|
|
|
|
|
|
| 3640040
| 47
| | Red | Green | Blue
| | z | | 19.15
| | znorm | | 14.97
| | sky | 15.1 | 15.0 | 14.9
| | S/N | 16.9 | 27.6 | 29.2
| | S/N(c) | 15.0 | 25.6 | 27.4
| | SN(E/C) | 0.92
|
|
|
|
|
|
|