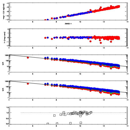
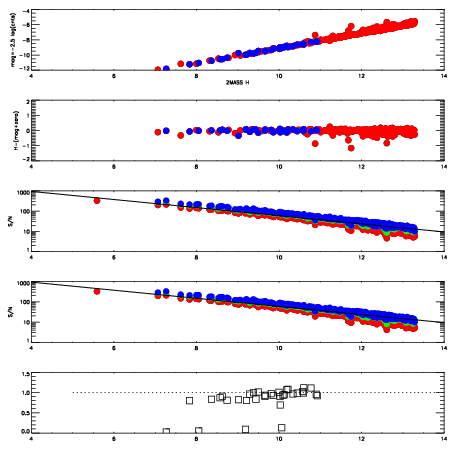
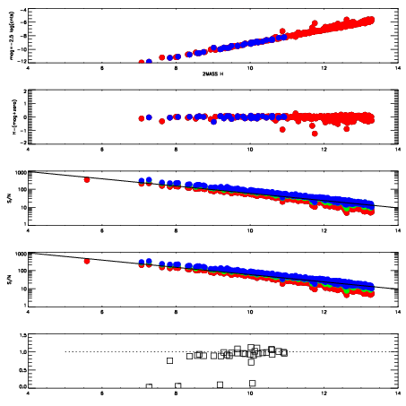
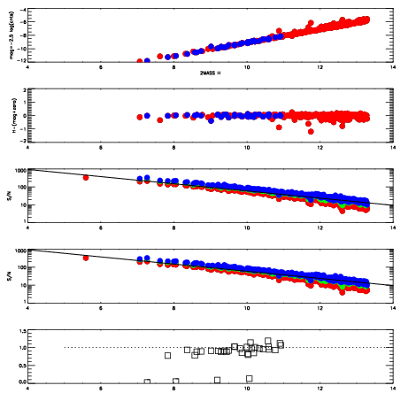
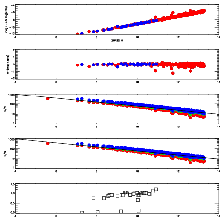
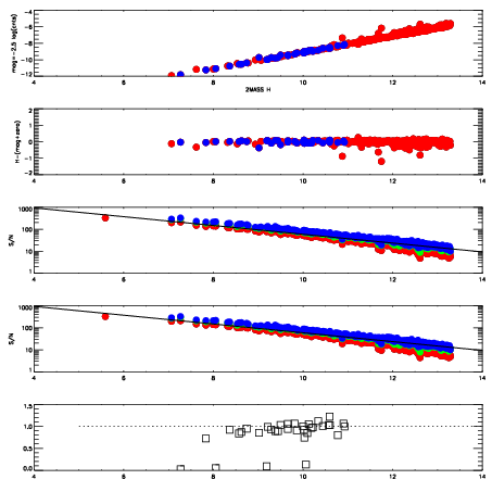
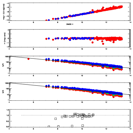
| Frame | Nreads | Zeropoints | Mag plots
| Spatial mag deviation
| Spatial sky 16325A emission deviations (filled: sky, open: star)
| Spatial sky continuum emission
| Spatial sky telluric CO2 absorption deviations (filled: H < 10)
|
| 2860064
| 47
| | Red | Green | Blue
| | z | | 19.10
| | znorm | | 14.92
| | sky | 14.9 | 14.5 | 14.5
| | S/N | 15.8 | 25.6 | 28.8
| | S/N(c) | 13.8 | 24.4 | 27.3
| | SN(E/C) | 0.91
|
|
|
|
|
|
|
| 2860065
| 47
| | Red | Green | Blue
| | z | | 19.11
| | znorm | | 14.93
| | sky | 14.6 | 14.6 | 14.9
| | S/N | 16.0 | 25.5 | 29.3
| | S/N(c) | 14.4 | 24.4 | 27.6
| | SN(E/C) | 0.94
|
|
|
|
|
|
|
| 2860066
| 47
| | Red | Green | Blue
| | z | | 19.13
| | znorm | | 14.95
| | sky | 14.8 | 14.6 | 14.9
| | S/N | 16.1 | 26.1 | 29.6
| | S/N(c) | 14.1 | 24.8 | 28.0
| | SN(E/C) | 0.92
|
|
|
|
|
|
|
| 2860067
| 47
| | Red | Green | Blue
| | z | | 19.13
| | znorm | | 14.95
| | sky | 14.7 | 14.6 | 14.8
| | S/N | 16.3 | 26.1 | 29.4
| | S/N(c) | 14.5 | 24.7 | 27.9
| | SN(E/C) | 0.95
|
|
|
|
|
|
|
| 2860068
| 47
| | Red | Green | Blue
| | z | | 19.11
| | znorm | | 14.93
| | sky | 14.5 | 14.6 | 14.9
| | S/N | 16.1 | 25.7 | 29.1
| | S/N(c) | 14.3 | 24.4 | 27.4
| | SN(E/C) | 0.93
|
|
|
|
|
|
|
| 2860069
| 47
| | Red | Green | Blue
| | z | | 19.13
| | znorm | | 14.95
| | sky | 14.7 | 14.7 | 14.8
| | S/N | 16.0 | 25.9 | 29.3
| | S/N(c) | 14.3 | 24.4 | 28.0
| | SN(E/C) | 0.95
|
|
|
|
|
|
|
| 2860070
| 47
| | Red | Green | Blue
| | z | | 19.13
| | znorm | | 14.95
| | sky | 14.7 | 14.6 | 14.8
| | S/N | 16.4 | 26.2 | 29.3
| | S/N(c) | 14.4 | 24.6 | 28.0
| | SN(E/C) | 0.92
|
|
|
|
|
|
|
| 2860071
| 47
| | Red | Green | Blue
| | z | | 19.12
| | znorm | | 14.94
| | sky | 14.7 | 14.7 | 14.8
| | S/N | 16.0 | 26.3 | 29.0
| | S/N(c) | 14.2 | 24.7 | 27.7
| | SN(E/C) | 0.93
|
|
|
|
|
|
|