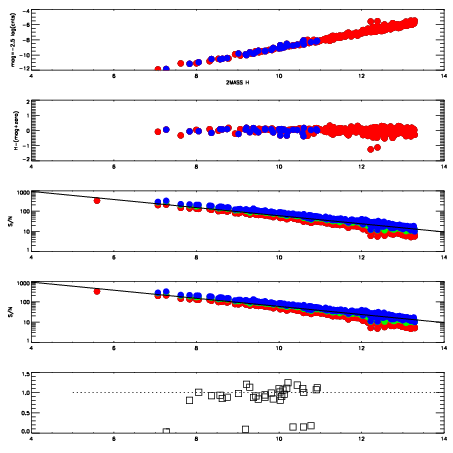
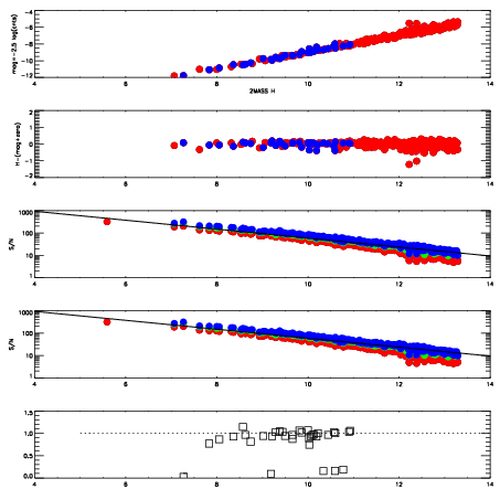
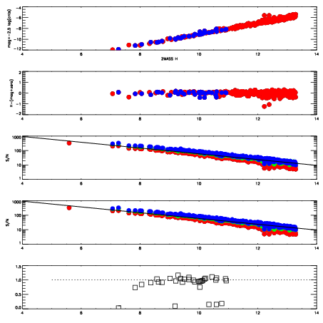
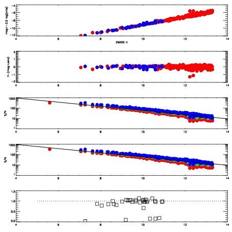
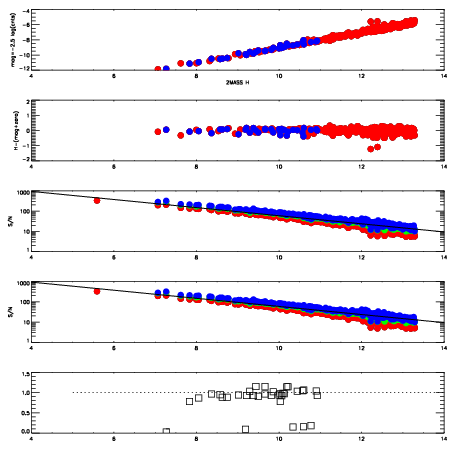
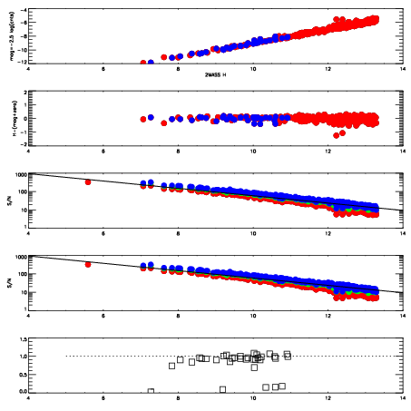
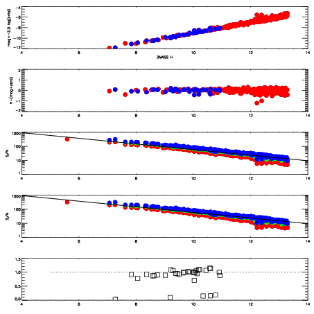
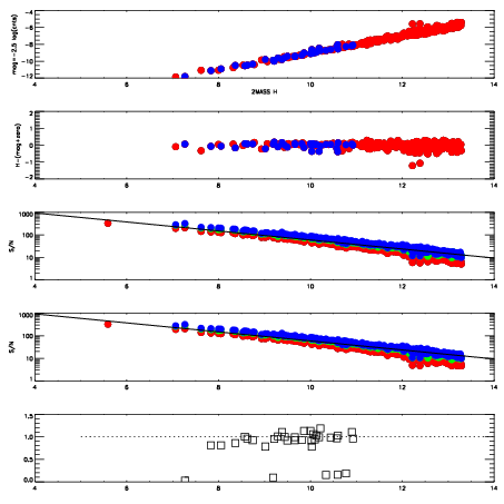
| Frame | Nreads | Zeropoints | Mag plots
| Spatial mag deviation
| Spatial sky 16325A emission deviations (filled: sky, open: star)
| Spatial sky continuum emission
| Spatial sky telluric CO2 absorption deviations (filled: H < 10)
|
| 2900047
| 47
| | Red | Green | Blue
| | z | | 19.03
| | znorm | | 14.85
| | sky | 14.9 | 14.6 | 14.9
| | S/N | 15.4 | 24.9 | 29.5
| | S/N(c) | 13.9 | 23.9 | 28.6
| | SN(E/C) | 0.94
|
|
|
|
|
|
|
| 2900048
| 47
| | Red | Green | Blue
| | z | | 19.05
| | znorm | | 14.87
| | sky | 14.9 | 14.7 | 14.9
| | S/N | 15.2 | 25.1 | 29.1
| | S/N(c) | 14.1 | 24.0 | 28.1
| | SN(E/C) | 0.94
|
|
|
|
|
|
|
| 2900049
| 47
| | Red | Green | Blue
| | z | | 19.09
| | znorm | | 14.91
| | sky | 14.9 | 14.8 | 15.0
| | S/N | 15.9 | 25.7 | 29.3
| | S/N(c) | 14.2 | 24.5 | 28.3
| | SN(E/C) | 0.96
|
|
|
|
|
|
|
| 2900050
| 47
| | Red | Green | Blue
| | z | | 19.02
| | znorm | | 14.84
| | sky | 14.7 | 14.7 | 14.9
| | S/N | 15.1 | 24.8 | 27.9
| | S/N(c) | 13.7 | 23.6 | 26.9
| | SN(E/C) | 0.96
|
|
|
|
|
|
|
| 2900051
| 47
| | Red | Green | Blue
| | z | | 18.96
| | znorm | | 14.78
| | sky | 15.0 | 14.8 | 15.1
| | S/N | 14.6 | 24.1 | 27.4
| | S/N(c) | 13.3 | 23.0 | 26.2
| | SN(E/C) | 0.96
|
|
|
|
|
|
|
| 2900052
| 47
| | Red | Green | Blue
| | z | | 19.02
| | znorm | | 14.84
| | sky | 15.1 | 14.7 | 15.0
| | S/N | 15.2 | 25.3 | 27.7
| | S/N(c) | 13.8 | 24.0 | 26.8
| | SN(E/C) | 0.93
|
|
|
|
|
|
|
| 2900053
| 47
| | Red | Green | Blue
| | z | | 19.06
| | znorm | | 14.88
| | sky | 14.7 | 14.8 | 15.0
| | S/N | 15.7 | 25.3 | 27.8
| | S/N(c) | 14.0 | 24.1 | 26.8
| | SN(E/C) | 0.97
|
|
|
|
|
|
|
| 2900054
| 47
| | Red | Green | Blue
| | z | | 19.00
| | znorm | | 14.82
| | sky | 14.9 | 14.9 | 15.0
| | S/N | 15.2 | 24.3 | 26.9
| | S/N(c) | 13.4 | 23.1 | 25.8
| | SN(E/C) | 0.95
|
|
|
|
|
|
|