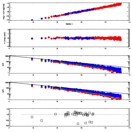
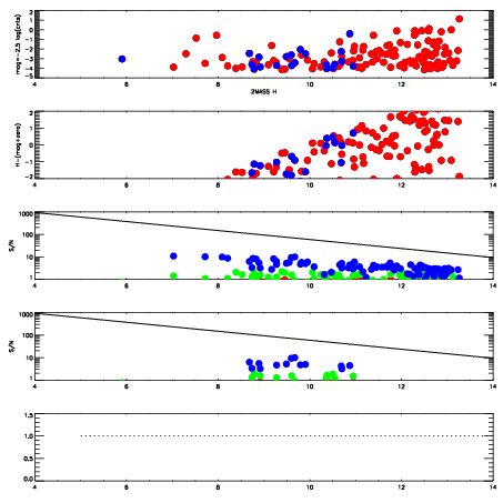
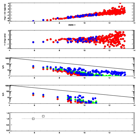
| Frame | Nreads | Zeropoints | Mag plots
| Spatial mag deviation
| Spatial sky 16325A emission deviations (filled: sky, open: star)
| Spatial sky continuum emission
| Spatial sky telluric CO2 absorption deviations (filled: H < 10)
|
| 3150023
| 47
| | Red | Green | Blue
| | z | | 17.92
| | znorm | | 13.74
| | sky | 12.5 | 12.5 | 12.4
| | S/N | 5.5 | 9.3 | 9.2
| | S/N(c) | 4.7 | 8.4 | 9.3
| | SN(E/C) | 1.01
|
|
|
|
|
|
|
| 3150024
| 47
| | Red | Green | Blue
| | z | | 18.20
| | znorm | | 14.01
| | sky | 12.8 | 12.8 | 12.7
| | S/N | 7.3 | 12.3 | 12.6
| | S/N(c) | 6.4 | 11.1 | 12.2
| | SN(E/C) | 0.95
|
|
|
|
|
|
|
| 3150025
| 47
| | Red | Green | Blue
| | z | | 17.46
| | znorm | | 13.28
| | sky | 12.2 | 12.1 | 12.1
| | S/N | 3.5 | 6.2 | 4.9
| | S/N(c) | 3.1 | 5.2 | 6.2
| | SN(E/C) | 1.03
|
|
|
|
|
|
|
| 3150026
| 47
| | Red | Green | Blue
| | z | | 17.40
| | znorm | | 13.22
| | sky | 12.3 | 12.3 | 12.3
| | S/N | 3.5 | 6.1 | 4.7
| | S/N(c) | 2.9 | 5.1 | 6.4
| | SN(E/C) | 1.00
|
|
|
|
|
|
|
| 3150027
| 47
| | Red | Green | Blue
| | z | | 14.44
| | znorm | | 10.26
| | sky | 12.3 | 12.3 | 12.5
| | S/N | 0.1 | 0.3 | -0.3
| | S/N(c) | 0.0 | 0.0 | 0.0
| | SN(E/C) | 4.66
|
|
|
|
|
|
|
| 3150028
| 47
| | Red | Green | Blue
| | z | | 13.49
| | znorm | | 9.31
| | sky | 12.6 | 12.7 | 13.0
| | S/N | -0.1 | -0.2 | -1.0
| | S/N(c) | 0.0 | 0.0 | 0.0
| | SN(E/C) | 11.79
|
|
|
|
|
|
|
| 3150029
| 47
| | Red | Green | Blue
| | z | | 14.00
| | znorm | | 9.81
| | sky | 12.1 | 12.1 | 12.3
| | S/N | -0.3 | -0.4 | -1.6
| | S/N(c) | 0.0 | 0.0 | 0.0
| | SN(E/C) | 8.91
|
|
|
|
|
|
|
| 3150030
| 47
| | Red | Green | Blue
| | z | | 14.00
| | znorm | | 9.82
| | sky | 12.1 | 12.2 | 12.3
| | S/N | -0.3 | -0.2 | -1.6
| | S/N(c) | 0.0 | 0.0 | 0.0
| | SN(E/C) | 9.06
|
|
|
|
|
|
|