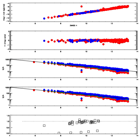
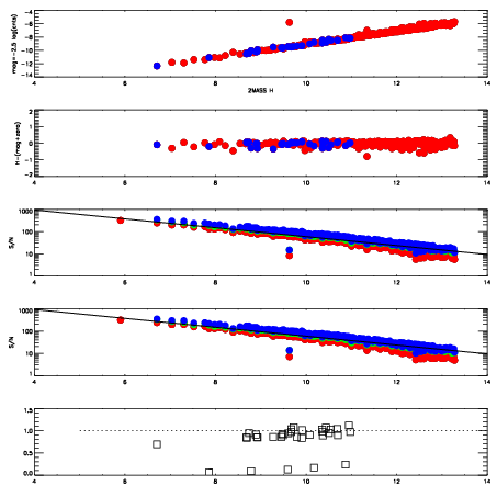
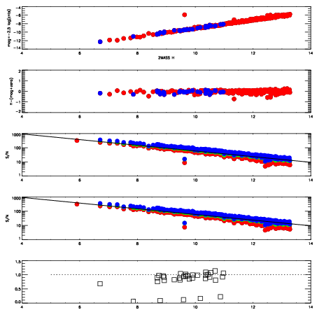
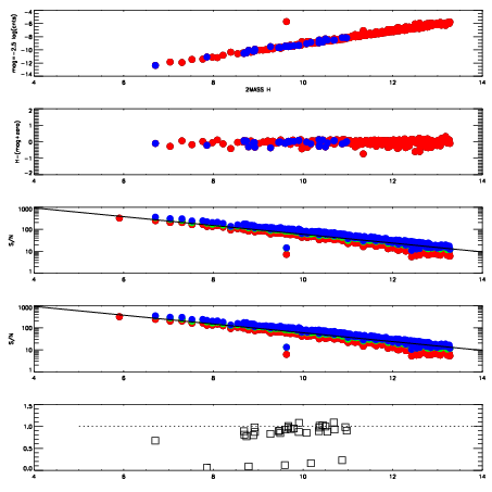
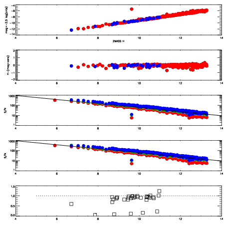
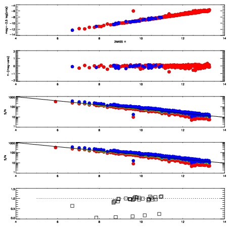
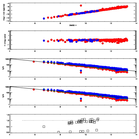
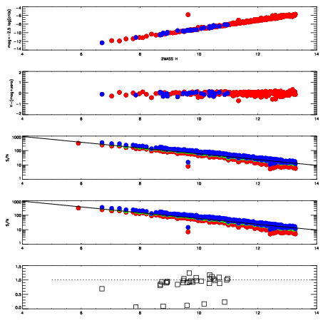
| Frame | Nreads | Zeropoints | Mag plots
| Spatial mag deviation
| Spatial sky 16325A emission deviations (filled: sky, open: star)
| Spatial sky continuum emission
| Spatial sky telluric CO2 absorption deviations (filled: H < 10)
|
| 3640044
| 47
| | Red | Green | Blue
| | z | | 19.16
| | znorm | | 14.98
| | sky | 15.9 | 15.1 | 15.0
| | S/N | 15.1 | 25.6 | 28.3
| | S/N(c) | 13.6 | 24.6 | 26.8
| | SN(E/C) | 0.91
|
|
|
|
|
|
|
| 3640045
| 47
| | Red | Green | Blue
| | z | | 19.21
| | znorm | | 15.03
| | sky | 15.4 | 15.0 | 15.3
| | S/N | 16.0 | 26.7 | 29.0
| | S/N(c) | 14.2 | 25.2 | 27.6
| | SN(E/C) | 0.91
|
|
|
|
|
|
|
| 3640046
| 47
| | Red | Green | Blue
| | z | | 19.21
| | znorm | | 15.03
| | sky | 15.4 | 15.0 | 15.2
| | S/N | 16.0 | 26.8 | 29.1
| | S/N(c) | 14.6 | 25.5 | 27.5
| | SN(E/C) | 0.89
|
|
|
|
|
|
|
| 3640047
| 47
| | Red | Green | Blue
| | z | | 19.18
| | znorm | | 15.00
| | sky | 15.2 | 15.1 | 15.4
| | S/N | 15.8 | 26.6 | 28.4
| | S/N(c) | 14.4 | 25.3 | 27.0
| | SN(E/C) | 0.91
|
|
|
|
|
|
|
| 3640048
| 47
| | Red | Green | Blue
| | z | | 19.13
| | znorm | | 14.95
| | sky | 15.4 | 15.0 | 15.3
| | S/N | 14.9 | 25.8 | 27.4
| | S/N(c) | 13.4 | 24.7 | 26.2
| | SN(E/C) | 0.93
|
|
|
|
|
|
|
| 3640049
| 47
| | Red | Green | Blue
| | z | | 19.16
| | znorm | | 14.98
| | sky | 15.2 | 15.1 | 15.2
| | S/N | 15.5 | 26.3 | 27.8
| | S/N(c) | 14.0 | 25.0 | 26.6
| | SN(E/C) | 0.89
|
|
|
|
|
|
|
| 3640050
| 47
| | Red | Green | Blue
| | z | | 19.08
| | znorm | | 14.90
| | sky | 15.8 | 15.0 | 15.2
| | S/N | 14.7 | 25.0 | 26.6
| | S/N(c) | 13.2 | 23.9 | 25.3
| | SN(E/C) | 0.96
|
|
|
|
|
|
|
| 3640051
| 47
| | Red | Green | Blue
| | z | | 19.13
| | znorm | | 14.95
| | sky | 15.7 | 15.1 | 15.3
| | S/N | 15.1 | 25.9 | 27.3
| | S/N(c) | 13.5 | 24.6 | 26.0
| | SN(E/C) | 0.90
|
|
|
|
|
|
|
| 3640052
| 47
| | Red | Green | Blue
| | z | | 19.10
| | znorm | | 14.92
| | sky | 15.0 | 15.2 | 15.2
| | S/N | 14.7 | 25.5 | 26.7
| | S/N(c) | 13.3 | 24.3 | 25.5
| | SN(E/C) | 0.94
|
|
|
|
|
|
|
| 3640053
| 47
| | Red | Green | Blue
| | z | | 19.11
| | znorm | | 14.93
| | sky | 15.2 | 15.2 | 15.2
| | S/N | 15.0 | 25.6 | 27.0
| | S/N(c) | 13.6 | 24.5 | 25.9
| | SN(E/C) | 0.92
|
|
|
|
|
|
|