PLATE: 5274 MJD: 55825 FIELD: 150+08

FrameCartsec zseeingNreadsDitherPixshiftZerosky continuumS/NS/N(c)
2630015 7 1.14 1.22 47 0.00 0.00 19.01 [14.40,14.16,14.24] [ 15.8, 25.6, 26.9] [ 14.2, 23.8, 26.2]
2630016 7 1.13 1.24 47 0.34 -0.00 18.82 [14.75,14.48,14.76] [ 13.4, 22.5, 24.4] [ 11.9, 21.0, 23.0]
2630017 7 1.12 1.24 47 0.34 0.00 18.87 [14.62,14.59,14.96] [ 13.7, 23.2, 25.2] [ 12.2, 21.4, 23.7]
2630018 7 1.12 1.29 47 -0.01 0.00 18.87 [14.72,14.63,14.79] [ 14.0, 23.3, 25.1] [ 12.5, 21.9, 23.7]
2630019 7 1.12 1.21 47 -0.02 0.00 18.91 [14.60,14.65,14.86] [ 14.1, 23.8, 26.0] [ 12.6, 22.6, 24.7]
2630020 7 1.11 1.29 47 0.33 0.00 19.06 [14.74,14.80,14.87] [ 15.9, 26.0, 28.0] [ 14.3, 24.7, 26.7]
2630021 7 1.11 1.23 47 0.34 0.00 18.94 [14.73,14.76,15.06] [ 14.5, 24.4, 26.0] [ 13.0, 23.0, 24.6]
2630022 7 1.11 1.20 47 -0.01 0.00 19.09 [14.77,14.83,14.86] [ 15.9, 26.2, 28.0] [ 14.4, 24.8, 26.5]
2630023 7 1.11 1.19 47 -0.01 -0.00 19.06 [14.62,14.89,15.04] [ 15.6, 25.8, 27.6] [ 14.0, 24.4, 26.2]
2630024 7 1.11 1.17 47 0.32 0.00 19.04 [14.97,14.84,14.97] [ 15.5, 25.3, 27.3] [ 14.0, 23.5, 25.8]

IPAIRNAMESHIFTNEWSHIFTS/N NAMESHIFTNEWSHIFTS/N
0 02630017 0.344 0.000 264.22 02630019 -0.016 0.360 264.11
1 02630020 0.331 0.013 281.49 02630022 -0.012 0.356 283.01
2 02630024 0.321 0.023 272.55 02630015 0.000 0.344 282.96
3 02630021 0.342 0.002 266.03 02630023 -0.014 0.358 275.59
4 02630016 0.344 0.000 257.12 02630018 -0.013 0.357 260.69

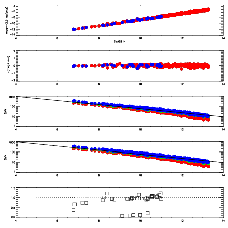
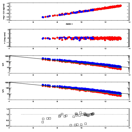
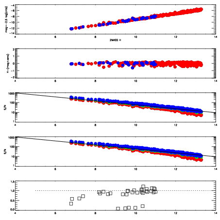
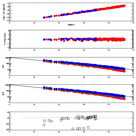
Visit (multiple exposure and dither combined) spectra

FrameZeropointsMag plots Spatial mag deviation Spatial sky 16325A emission deviations (filled: sky, open: star) Spatial sky continuum emission Spatial sky telluric CO2 absorption deviations (filled: H < 10)
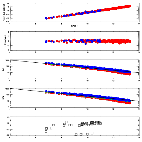
2630015
RedGreenBlue
z19.01
znorm14.83
sky 14.4 14.2 14.2
S/N 15.8 25.6 26.9
S/N(c) 14.2 23.8 26.2
SN(E/C) 0.91
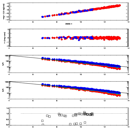
2630016
RedGreenBlue
z18.82
znorm14.64
sky 14.8 14.5 14.8
S/N 13.4 22.5 24.4
S/N(c) 11.9 21.0 23.0
SN(E/C) 1.00
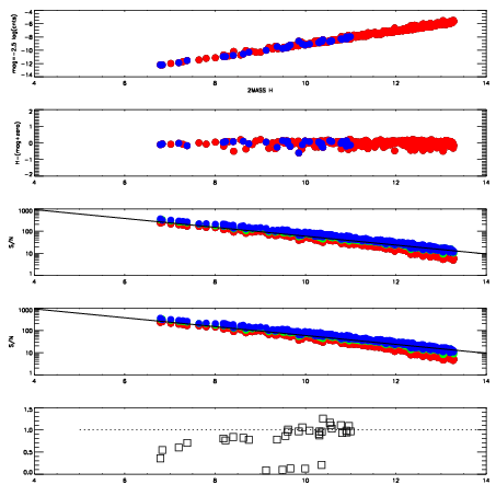
2630017
RedGreenBlue
z18.87
znorm14.69
sky 14.6 14.6 15.0
S/N 13.7 23.2 25.2
S/N(c) 12.2 21.4 23.7
SN(E/C) 0.99
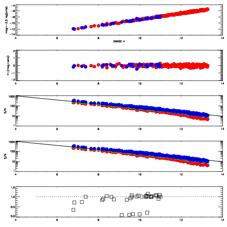
2630018
RedGreenBlue
z18.87
znorm14.69
sky 14.7 14.6 14.8
S/N 14.0 23.3 25.1
S/N(c) 12.5 21.9 23.7
SN(E/C) 0.94
2630019
RedGreenBlue
z18.91
znorm14.73
sky 14.6 14.6 14.9
S/N 14.1 23.8 26.0
S/N(c) 12.6 22.6 24.7
SN(E/C) 0.91
2630020
RedGreenBlue
z19.06
znorm14.88
sky 14.7 14.8 14.9
S/N 15.9 26.0 28.0
S/N(c) 14.3 24.7 26.7
SN(E/C) 0.92
2630021
RedGreenBlue
z18.94
znorm14.76
sky 14.7 14.8 15.1
S/N 14.5 24.4 26.0
S/N(c) 13.0 23.0 24.6
SN(E/C) 0.95
2630022
RedGreenBlue
z19.09
znorm14.91
sky 14.8 14.8 14.9
S/N 15.9 26.2 28.0
S/N(c) 14.4 24.8 26.5
SN(E/C) 0.91
2630023
RedGreenBlue
z19.06
znorm14.88
sky 14.6 14.9 15.0
S/N 15.6 25.8 27.6
S/N(c) 14.0 24.4 26.2
SN(E/C) 0.92
2630024
RedGreenBlue
z19.04
znorm14.86
sky 15.0 14.8 15.0
S/N 15.5 25.3 27.3
S/N(c) 14.0 23.5 25.8
SN(E/C) 0.92