PLATE: 5274 MJD: 55880 FIELD: 150+08

FrameCartsec zseeingNreadsDitherPixshiftZerosky continuumS/NS/N(c)
3180010 3 1.11 1.85 47 0.00 -0.00 18.79 [14.82,14.74,14.63] [ 14.7, 24.7, 24.6] [ 13.0, 22.9, 23.6]
3180011 3 1.11 1.98 47 0.44 -0.00 18.79 [15.33,15.12,15.37] [ 14.2, 24.3, 25.2] [ 12.5, 22.4, 23.6]
3180012 3 1.11 1.75 47 0.45 0.00 18.85 [15.36,15.12,15.39] [ 14.8, 24.8, 26.0] [ 13.1, 23.0, 24.4]
3180013 3 1.12 1.99 47 0.01 0.00 18.93 [15.46,15.09,15.51] [ 15.3, 25.7, 26.9] [ 13.6, 24.1, 25.2]
3180014 3 1.12 1.81 47 0.01 0.00 18.92 [14.93,15.05,15.27] [ 15.0, 25.6, 26.6] [ 13.3, 23.8, 25.0]
3180015 3 1.13 1.66 47 0.43 -0.00 18.93 [15.16,15.25,15.33] [ 15.1, 25.8, 26.8] [ 13.4, 23.9, 24.9]
3180016 3 1.13 1.62 47 0.44 0.00 18.97 [15.08,15.14,15.40] [ 15.2, 25.9, 26.9] [ 13.3, 24.5, 25.2]
3180017 3 1.14 1.42 47 0.01 0.00 18.91 [15.55,15.19,15.37] [ 14.9, 24.8, 26.0] [ 13.0, 23.5, 24.4]

IPAIRNAMESHIFTNEWSHIFTS/N NAMESHIFTNEWSHIFTS/N
0 03180012 0.446 0.000 262.07 03180017 0.011 0.435 259.08
1 03180015 0.434 0.011 265.63 03180013 0.010 0.436 268.91
2 03180016 0.441 0.005 265.02 03180014 0.010 0.436 264.71
3 03180011 0.442 0.004 256.13 03180010 0.000 0.446 253.85

Visit (multiple exposure and dither combined) spectra

FrameZeropointsMag plots Spatial mag deviation Spatial sky 16325A emission deviations (filled: sky, open: star) Spatial sky continuum emission Spatial sky telluric CO2 absorption deviations (filled: H < 10)
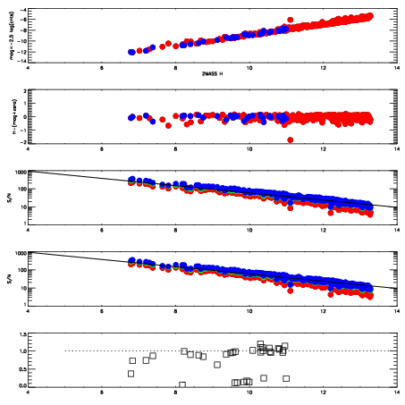
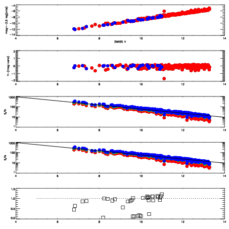
3180010
RedGreenBlue
z18.79
znorm14.61
sky 14.8 14.7 14.6
S/N 14.7 24.7 24.6
S/N(c) 13.0 22.9 23.6
SN(E/C) 0.96
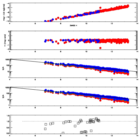
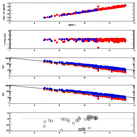
3180011
RedGreenBlue
z18.79
znorm14.61
sky 15.3 15.1 15.4
S/N 14.2 24.3 25.2
S/N(c) 12.5 22.4 23.6
SN(E/C) 0.95
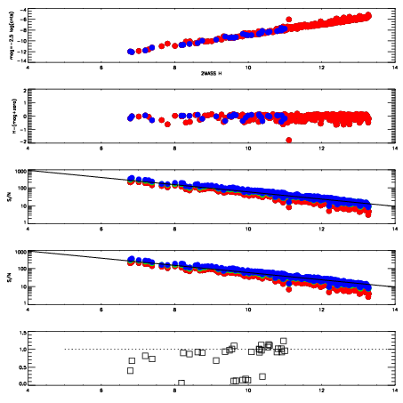
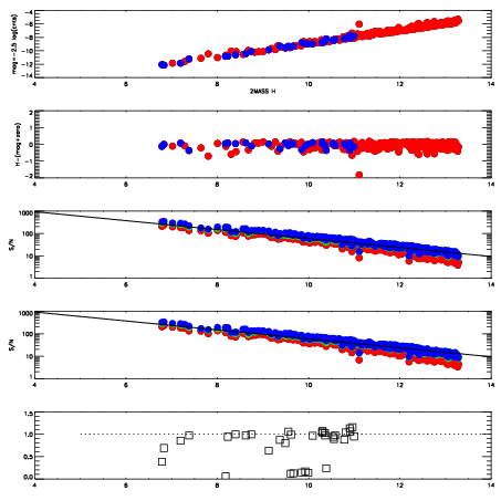
3180012
RedGreenBlue
z18.85
znorm14.67
sky 15.4 15.1 15.4
S/N 14.8 24.8 26.0
S/N(c) 13.1 23.0 24.4
SN(E/C) 0.93
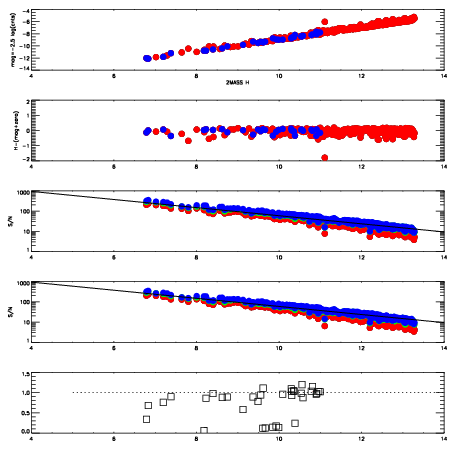
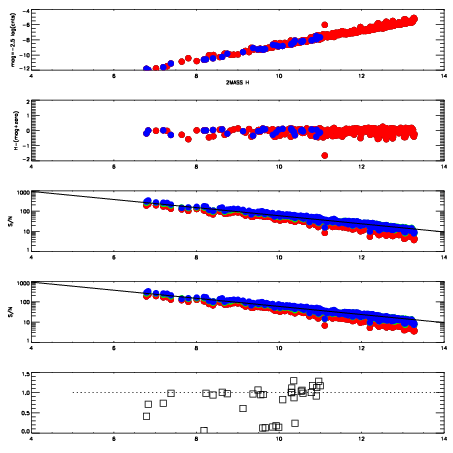
3180013
RedGreenBlue
z18.93
znorm14.75
sky 15.5 15.1 15.5
S/N 15.3 25.7 26.9
S/N(c) 13.6 24.1 25.2
SN(E/C) 0.92
3180014
RedGreenBlue
z18.92
znorm14.74
sky 14.9 15.1 15.3
S/N 15.0 25.6 26.6
S/N(c) 13.3 23.8 25.0
SN(E/C) 0.95
3180015
RedGreenBlue
z18.93
znorm14.75
sky 15.2 15.2 15.3
S/N 15.1 25.8 26.8
S/N(c) 13.4 23.9 24.9
SN(E/C) 0.90
3180016
RedGreenBlue
z18.97
znorm14.79
sky 15.1 15.1 15.4
S/N 15.2 25.9 26.9
S/N(c) 13.3 24.5 25.2
SN(E/C) 0.95
3180017
RedGreenBlue
z18.91
znorm14.73
sky 15.5 15.2 15.4
S/N 14.9 24.8 26.0
S/N(c) 13.0 23.5 24.4
SN(E/C) 0.95