PLATE: 5274 MJD: 55896 FIELD: 150+08

FrameCartsec zseeingNreadsDitherPixshiftZerosky continuumS/NS/N(c)
3340047 6 1.22 1.37 47 0.00 0.00 18.57 [15.21,14.53,14.90] [ 11.9, 18.5, 22.1] [ 10.1, 16.8, 20.4]
3340048 6 1.20 1.45 47 0.52 -0.00 18.07 [14.68,14.67,15.07] [ 7.9, 13.8, 16.6] [ 6.9, 12.5, 15.1]
3340049 6 1.19 1.47 47 0.52 0.00 17.15 [14.92,14.60,15.10] [ 3.8, 7.5, 8.7] [ 3.2, 6.9, 7.9]
3340050 6 1.18 1.36 47 0.03 0.00 18.85 [14.82,14.65,14.99] [ 14.0, 23.0, 25.8] [ 12.2, 20.9, 24.3]
3340051 6 1.17 1.33 47 0.02 -0.00 18.90 [14.87,14.79,15.04] [ 14.3, 23.4, 26.4] [ 12.5, 21.3, 25.1]
3340052 6 1.16 1.25 47 0.51 -0.00 19.09 [14.94,14.70,15.04] [ 16.3, 26.2, 28.5] [ 14.3, 24.0, 27.1]
3340053 6 1.15 1.51 47 0.51 0.00 18.53 [14.90,14.88,15.00] [ 11.1, 19.5, 21.3] [ 9.5, 17.5, 19.7]
3340054 6 1.14 1.29 47 0.03 -0.00 18.71 [14.95,14.74,15.03] [ 12.6, 21.5, 23.5] [ 10.9, 19.4, 22.3]

IPAIRNAMESHIFTNEWSHIFTS/N NAMESHIFTNEWSHIFTS/N
0 03340048 0.515 0.000 178.30 03340054 0.025 0.490 237.43
1 03340052 0.507 0.008 283.35 03340051 0.024 0.491 259.05
2 03340053 0.505 0.010 221.76 03340050 0.026 0.489 254.58
3 03340049 0.515 0.000 113.73 03340047 0.000 0.515 219.62

Visit (multiple exposure and dither combined) spectra

FrameZeropointsMag plots Spatial mag deviation Spatial sky 16325A emission deviations (filled: sky, open: star) Spatial sky continuum emission Spatial sky telluric CO2 absorption deviations (filled: H < 10)
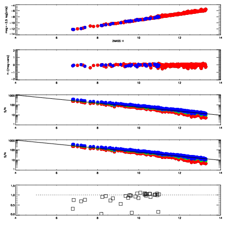
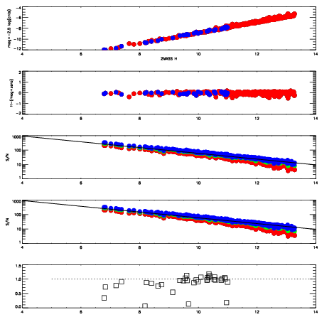
3340047
RedGreenBlue
z18.57
znorm14.39
sky 15.2 14.5 14.9
S/N 11.9 18.5 22.1
S/N(c) 10.1 16.8 20.4
SN(E/C) 0.98
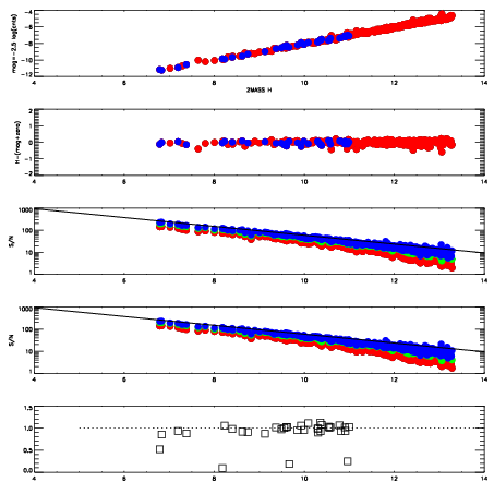
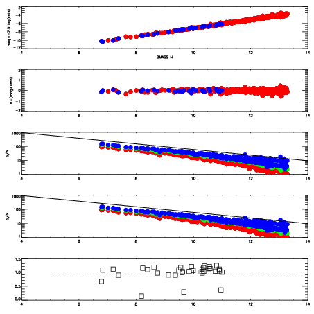
3340048
RedGreenBlue
z18.07
znorm13.89
sky 14.7 14.7 15.1
S/N 7.9 13.8 16.6
S/N(c) 6.9 12.5 15.1
SN(E/C) 0.98
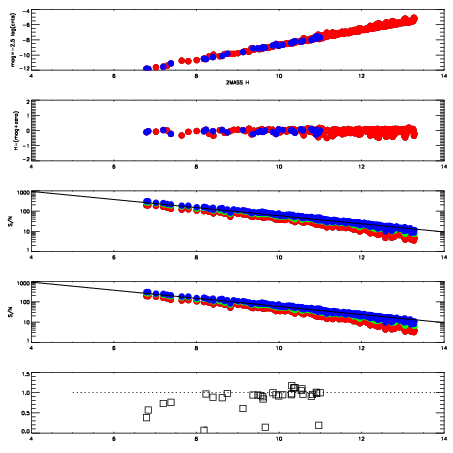
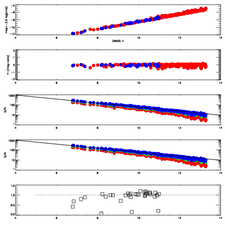
3340049
RedGreenBlue
z17.15
znorm12.97
sky 14.9 14.6 15.1
S/N 3.8 7.5 8.7
S/N(c) 3.2 6.9 7.9
SN(E/C) 1.04
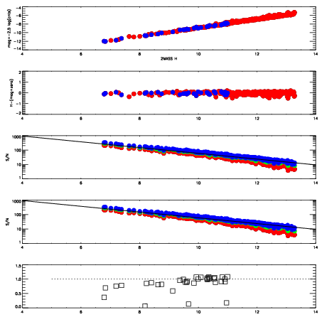
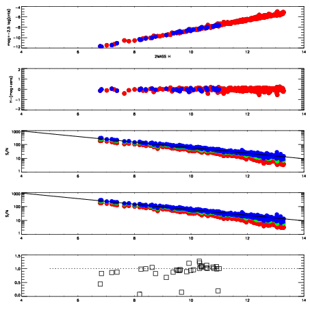
3340050
RedGreenBlue
z18.85
znorm14.67
sky 14.8 14.7 15.0
S/N 14.0 23.0 25.8
S/N(c) 12.2 20.9 24.3
SN(E/C) 0.95
3340051
RedGreenBlue
z18.90
znorm14.72
sky 14.9 14.8 15.0
S/N 14.3 23.4 26.4
S/N(c) 12.5 21.3 25.1
SN(E/C) 0.91
3340052
RedGreenBlue
z19.09
znorm14.91
sky 14.9 14.7 15.0
S/N 16.3 26.2 28.5
S/N(c) 14.3 24.0 27.1
SN(E/C) 0.96
3340053
RedGreenBlue
z18.53
znorm14.35
sky 14.9 14.9 15.0
S/N 11.1 19.5 21.3
S/N(c) 9.5 17.5 19.7
SN(E/C) 0.99
3340054
RedGreenBlue
z18.71
znorm14.53
sky 15.0 14.7 15.0
S/N 12.6 21.5 23.5
S/N(c) 10.9 19.4 22.3
SN(E/C) 0.94