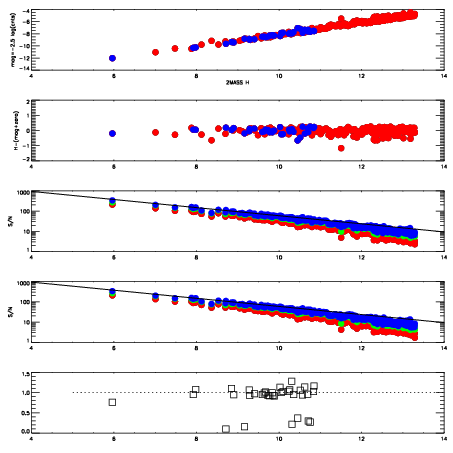
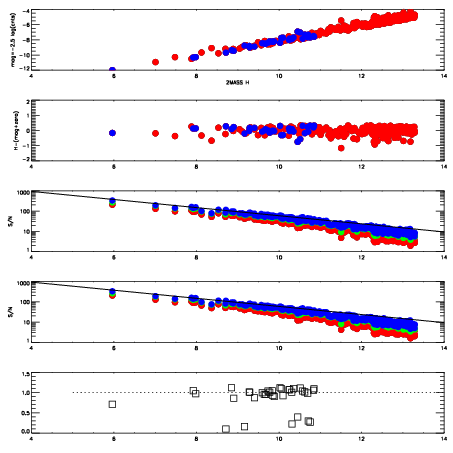
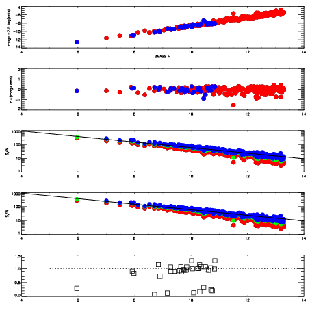
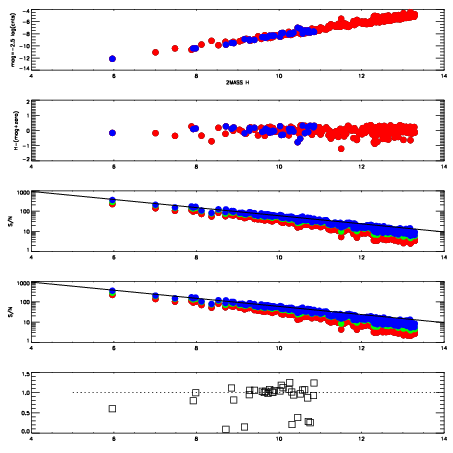
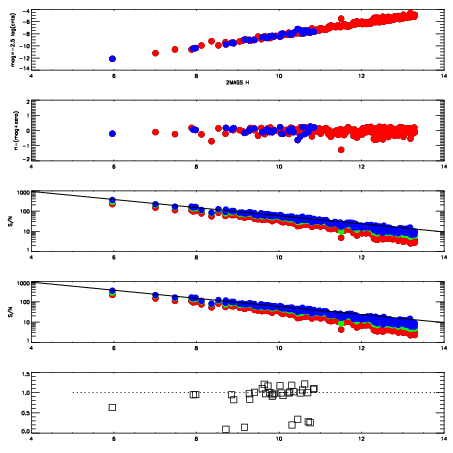
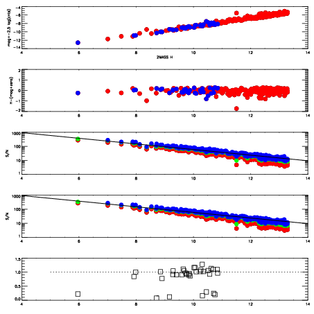
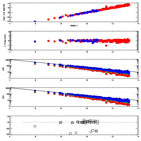
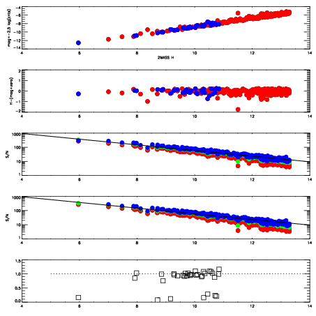
| Frame | Nreads | Zeropoints | Mag plots
| Spatial mag deviation
| Spatial sky 16325A emission deviations (filled: sky, open: star)
| Spatial sky continuum emission
| Spatial sky telluric CO2 absorption deviations (filled: H < 10)
|
| 3490025
| 47
| | Red | Green | Blue
| | z | | 18.74
| | znorm | | 14.56
| | sky | 15.2 | 14.9 | 14.8
| | S/N | 13.1 | 20.8 | 23.9
| | S/N(c) | 11.6 | 19.2 | 22.4
| | SN(E/C) | 0.95
|
|
|
|
|
|
|
| 3490026
| 47
| | Red | Green | Blue
| | z | | 18.78
| | znorm | | 14.60
| | sky | 15.2 | 14.8 | 15.0
| | S/N | 13.8 | 21.9 | 24.5
| | S/N(c) | 11.9 | 20.0 | 22.8
| | SN(E/C) | 0.95
|
|
|
|
|
|
|
| 3490027
| 47
| | Red | Green | Blue
| | z | | 18.78
| | znorm | | 14.60
| | sky | 14.9 | 14.9 | 15.0
| | S/N | 13.6 | 21.7 | 24.5
| | S/N(c) | 11.8 | 19.8 | 22.7
| | SN(E/C) | 0.96
|
|
|
|
|
|
|
| 3490028
| 47
| | Red | Green | Blue
| | z | | 18.05
| | znorm | | 13.87
| | sky | 15.1 | 14.9 | 15.2
| | S/N | 7.8 | 14.4 | 15.6
| | S/N(c) | 6.7 | 13.2 | 14.3
| | SN(E/C) | 0.99
|
|
|
|
|
|
|
| 3490029
| 47
| | Red | Green | Blue
| | z | | 18.30
| | znorm | | 14.12
| | sky | 15.0 | 14.9 | 15.2
| | S/N | 9.6 | 16.4 | 18.6
| | S/N(c) | 8.3 | 14.9 | 17.2
| | SN(E/C) | 0.98
|
|
|
|
|
|
|
| 3490030
| 47
| | Red | Green | Blue
| | z | | 18.18
| | znorm | | 14.00
| | sky | 15.2 | 15.0 | 15.2
| | S/N | 8.6 | 15.0 | 17.5
| | S/N(c) | 7.3 | 13.5 | 16.2
| | SN(E/C) | 0.96
|
|
|
|
|
|
|
| 3490031
| 47
| | Red | Green | Blue
| | z | | 18.24
| | znorm | | 14.06
| | sky | 15.3 | 15.0 | 15.2
| | S/N | 9.3 | 15.6 | 17.8
| | S/N(c) | 7.8 | 13.5 | 16.3
| | SN(E/C) | 1.01
|
|
|
|
|
|
|
| 3490032
| 47
| | Red | Green | Blue
| | z | | 18.12
| | znorm | | 13.94
| | sky | 15.0 | 14.9 | 15.0
| | S/N | 8.6 | 14.2 | 16.6
| | S/N(c) | 7.3 | 12.5 | 15.2
| | SN(E/C) | 1.01
|
|
|
|
|
|
|