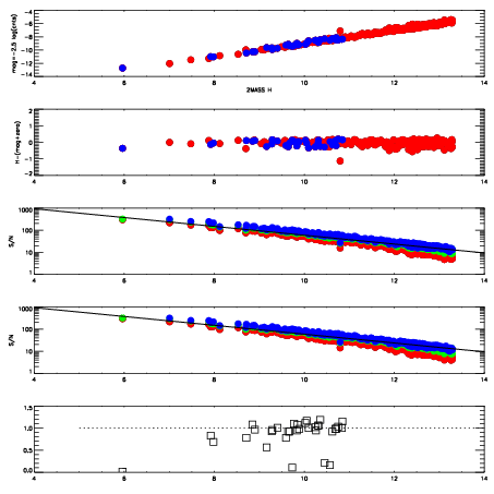
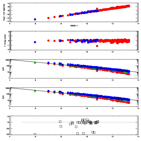
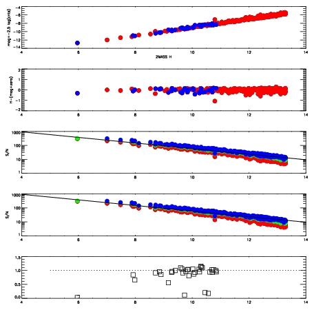
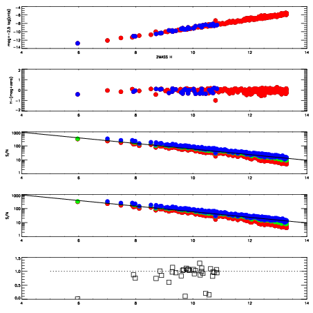
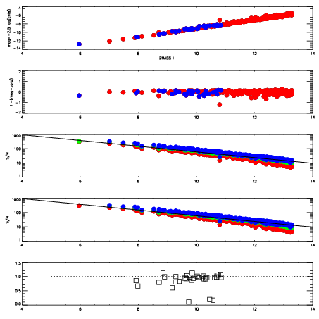
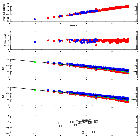
| Frame | Nreads | Zeropoints | Mag plots
| Spatial mag deviation
| Spatial sky 16325A emission deviations (filled: sky, open: star)
| Spatial sky continuum emission
| Spatial sky telluric CO2 absorption deviations (filled: H < 10)
|
| 3700023
| 47
| | Red | Green | Blue
| | z | | 19.07
| | znorm | | 14.89
| | sky | 15.5 | 14.6 | 14.7
| | S/N | 15.2 | 23.2 | 28.4
| | S/N(c) | 13.6 | 21.9 | 26.9
| | SN(E/C) | 0.95
|
|
|
|
|
|
|
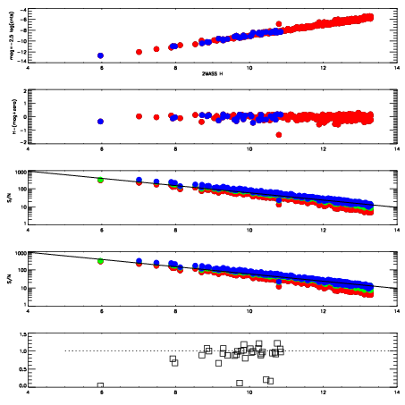
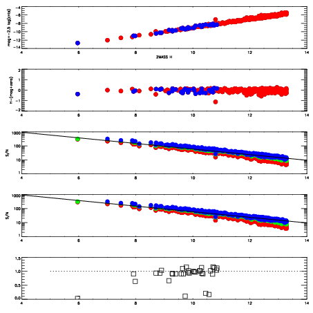
| 3700024
| 47
| | Red | Green | Blue
| | z | | 19.12
| | znorm | | 14.94
| | sky | 14.8 | 14.7 | 14.9
| | S/N | 15.3 | 23.7 | 28.2
| | S/N(c) | 13.8 | 22.4 | 26.7
| | SN(E/C) | 0.97
|
|
|
|
|
|
|
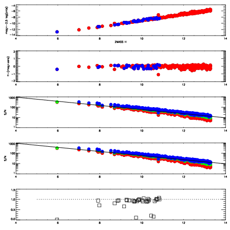
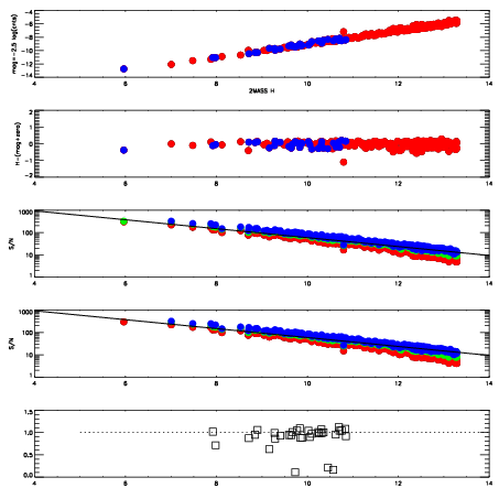
| 3700025
| 47
| | Red | Green | Blue
| | z | | 19.13
| | znorm | | 14.95
| | sky | 14.9 | 14.7 | 14.9
| | S/N | 15.2 | 23.8 | 28.5
| | S/N(c) | 13.8 | 22.5 | 26.4
| | SN(E/C) | 0.94
|
|
|
|
|
|
|
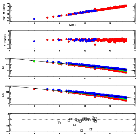
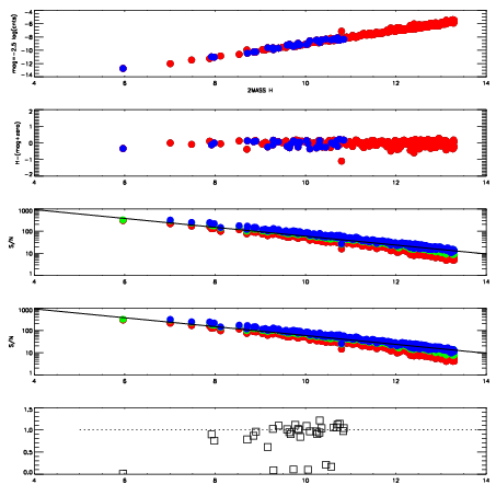
| 3700026
| 47
| | Red | Green | Blue
| | z | | 19.08
| | znorm | | 14.90
| | sky | 15.0 | 14.7 | 14.9
| | S/N | 14.8 | 23.2 | 27.5
| | S/N(c) | 13.4 | 21.9 | 26.1
| | SN(E/C) | 0.97
|
|
|
|
|
|
|
| 3700027
| 47
| | Red | Green | Blue
| | z | | 19.04
| | znorm | | 14.86
| | sky | 15.2 | 14.8 | 15.0
| | S/N | 14.6 | 22.9 | 27.1
| | S/N(c) | 13.3 | 21.6 | 25.7
| | SN(E/C) | 0.98
|
|
|
|
|
|
|
| 3700028
| 47
| | Red | Green | Blue
| | z | | 19.02
| | znorm | | 14.84
| | sky | 14.8 | 14.9 | 14.9
| | S/N | 14.4 | 22.6 | 26.6
| | S/N(c) | 13.0 | 21.3 | 25.3
| | SN(E/C) | 0.94
|
|
|
|
|
|
|
| 3700029
| 47
| | Red | Green | Blue
| | z | | 19.03
| | znorm | | 14.85
| | sky | 14.9 | 14.8 | 15.1
| | S/N | 14.3 | 23.0 | 26.7
| | S/N(c) | 13.0 | 21.5 | 25.4
| | SN(E/C) | 0.96
|
|
|
|
|
|
|
| 3700030
| 47
| | Red | Green | Blue
| | z | | 19.01
| | znorm | | 14.83
| | sky | 15.1 | 14.9 | 15.1
| | S/N | 14.2 | 22.8 | 26.2
| | S/N(c) | 12.8 | 21.4 | 25.1
| | SN(E/C) | 1.00
|
|
|
|
|
|
|
| 3700031
| 47
| | Red | Green | Blue
| | z | | 19.00
| | znorm | | 14.82
| | sky | 15.1 | 14.8 | 15.2
| | S/N | 14.2 | 22.7 | 26.2
| | S/N(c) | 12.9 | 21.3 | 24.9
| | SN(E/C) | 0.96
|
|
|
|
|
|
|
| 3700032
| 47
| | Red | Green | Blue
| | z | | 18.97
| | znorm | | 14.79
| | sky | 14.9 | 15.0 | 15.1
| | S/N | 13.9 | 22.5 | 25.8
| | S/N(c) | 12.6 | 21.0 | 24.5
| | SN(E/C) | 0.97
|
|
|
|
|
|
|
| 3700033
| 47
| | Red | Green | Blue
| | z | | 18.99
| | znorm | | 14.81
| | sky | 15.0 | 15.0 | 15.1
| | S/N | 13.9 | 23.1 | 25.9
| | S/N(c) | 12.7 | 21.6 | 24.6
| | SN(E/C) | 0.95
|
|
|
|
|
|
|
| 3700034
| 47
| | Red | Green | Blue
| | z | | 19.09
| | znorm | | 14.91
| | sky | 15.1 | 14.9 | 14.9
| | S/N | 15.0 | 24.0 | 27.0
| | S/N(c) | 13.6 | 22.5 | 25.6
| | SN(E/C) | 0.96
|
|
|
|
|
|
|