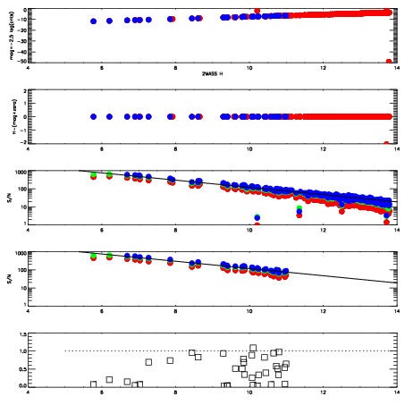
Left plots: red are targets, blue are telluric. Observed mags are calculated from median value of green chip. Zeropoint gives overall throughput: bigger number is more throughput.
First spatial plots: circles are objects, squares are tellurics, crosses are sky fibers. Colors give deviation of observed mag from expected 2MASS mag using the median zeropoint; red is brighter
Second spatial plots: circles are sky fibers. Colors give sky line brightness relative to plate median sky line brightness
FrameNreadsZeropointsMag plots Spatial mag deviation Spatial sky 16325A emission deviations (filled: sky, open: star) Spatial sky continuum emission Spatial sky telluric CO2 absorption deviations (filled: H < 10)
0 0
RedGreenBlue
z17.64
znorm Inf
sky -NaN -NaN -Inf
S/N 22.4 38.1 43.4
S/N(c) 0.0 0.0 0.0
SN(E/C) 0.51

IPAIRNAMESHIFTNEWSHIFTS/N NAMESHIFTNEWSHIFTS/N
0 02870032 0.347045 0.00000 272.480 02870030 -0.0158004 0.362845 282.796
1 02870028 0.337235 0.00981000 291.711 02870034 -0.0137171 0.360762 288.919
2 02870029 0.326717 0.0203280 289.336 02870027 0.00000 0.347045 283.639
3 02870033 0.344501 0.00254402 267.093 02870031 -0.0152766 0.362322 279.240