Frame | Cart | sec z | seeing | Nreads | Dither | Pixshift | Zero | sky continuum | S/N | S/N(c) |
5200080 | 5 | 1.08 | 1.16 | 47 | 0.00 | 0.00 | 19.14 | [14.59,14.40,14.83] | [ 15.6, 25.3, 29.1] | [ 14.1, 23.7, 27.1] |
5200081 | 5 | 1.08 | 1.20 | 47 | 0.30 | 0.00 | 19.15 | [14.31,14.36,14.71] | [ 15.7, 25.3, 29.3] | [ 14.1, 24.3, 27.4] |
IPAIR | NAME | SHIFT | NEWSHIFT | S/N | NAME | SHIFT | NEWSHIFT | S/N |
0 | 05200081 | 0.303 | 0.000 | 311.14 | 05200080 | 0.000 | 0.303 | 316.07 |
Visit (multiple exposure and dither combined) spectra
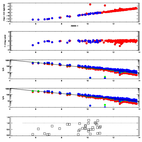
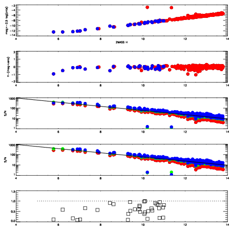
Frame | Zeropoints | Mag plots | Spatial mag deviation | Spatial sky 16325A emission deviations (filled: sky, open: star) | Spatial sky continuum emission | Spatial sky telluric CO2 absorption deviations (filled: H < 10) | ||||||||||||||||||||||||
5200080 |
| ![]() | ![]() | ![]() | ![]() | ![]() | ||||||||||||||||||||||||
5200081 |
| ![]() | ![]() | ![]() | ![]() | ![]() |