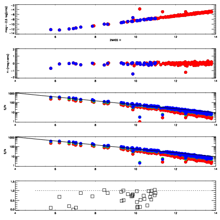
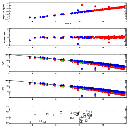
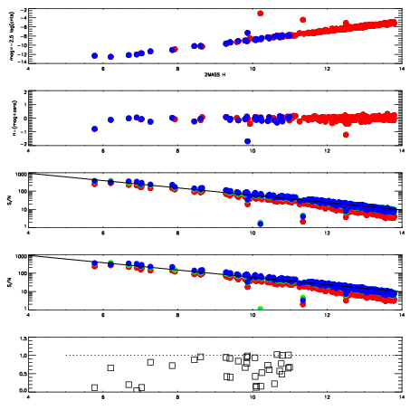
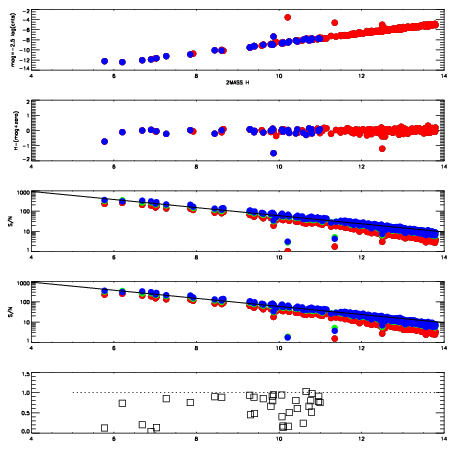
Left plots: red are targets, blue are telluric. Observed mags are calculated from median value of green chip. Zeropoint gives overall throughput: bigger number is more throughput.
First spatial plots: circles are objects, squares are tellurics, crosses are sky fibers. Colors give deviation of observed mag from expected 2MASS mag using the median zeropoint; red is brighter
Second spatial plots: circles are sky fibers. Colors give sky line brightness relative to plate median sky line brightness
FrameNreadsZeropointsMag plots Spatial mag deviation Spatial sky 16325A emission deviations (filled: sky, open: star) Spatial sky continuum emission Spatial sky telluric CO2 absorption deviations (filled: H < 10)
5370003 47
RedGreenBlue
z18.87
znorm14.69
sky 14.5 14.5 14.6
S/N 13.8 22.5 24.2
S/N(c) 12.4 21.6 23.0
SN(E/C) 0.67
5370004 47
RedGreenBlue
z18.71
znorm14.53
sky 14.5 14.9 15.3
S/N 12.3 20.4 22.1
S/N(c) 11.3 19.5 21.2
SN(E/C) 0.75
5370005 47
RedGreenBlue
z18.61
znorm14.43
sky 14.5 14.9 15.3
S/N 11.0 19.8 20.7
S/N(c) 10.1 18.9 19.9
SN(E/C) 0.71
5370006 47
RedGreenBlue
z18.75
znorm14.56
sky 14.6 15.0 15.3
S/N 12.1 20.7 22.3
S/N(c) 10.9 20.0 21.4
SN(E/C) 0.73