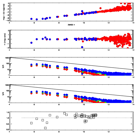
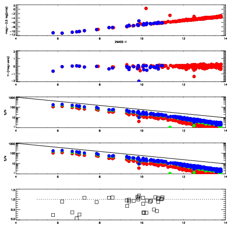
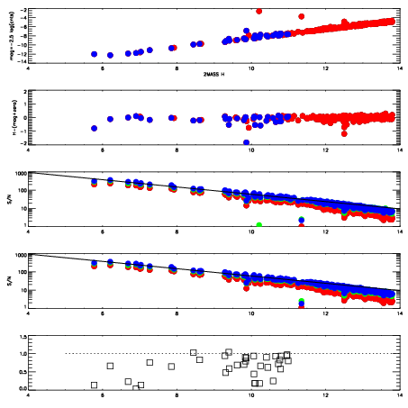
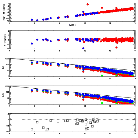
Left plots: red are targets, blue are telluric. Observed mags are calculated from median value of green chip. Zeropoint gives overall throughput: bigger number is more throughput.
First spatial plots: circles are objects, squares are tellurics, crosses are sky fibers. Colors give deviation of observed mag from expected 2MASS mag using the median zeropoint; red is brighter
Second spatial plots: circles are sky fibers. Colors give sky line brightness relative to plate median sky line brightness
FrameNreadsZeropointsMag plots Spatial mag deviation Spatial sky 16325A emission deviations (filled: sky, open: star) Spatial sky continuum emission Spatial sky telluric CO2 absorption deviations (filled: H < 10)
5380010 47
RedGreenBlue
z18.56
znorm14.38
sky 15.1 14.8 14.6
S/N 10.9 18.0 18.4
S/N(c) 9.4 16.5 17.5
SN(E/C) 0.70
5380011 47
RedGreenBlue
z17.51
znorm13.33
sky 14.7 14.8 15.2
S/N 4.7 9.7 10.0
S/N(c) 4.1 8.9 9.0
SN(E/C) 0.87
5380012 47
RedGreenBlue
z17.11
znorm12.93
sky 14.8 14.9 15.3
S/N 3.3 7.2 7.7
S/N(c) 3.0 6.4 6.9
SN(E/C) 0.94
5380013 47
RedGreenBlue
z15.10
znorm10.92
sky 15.0 14.9 15.6
S/N 0.6 1.6 1.7
S/N(c) 0.6 1.5 1.6
SN(E/C) 1.13