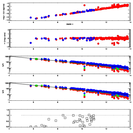
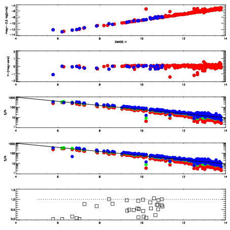
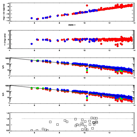
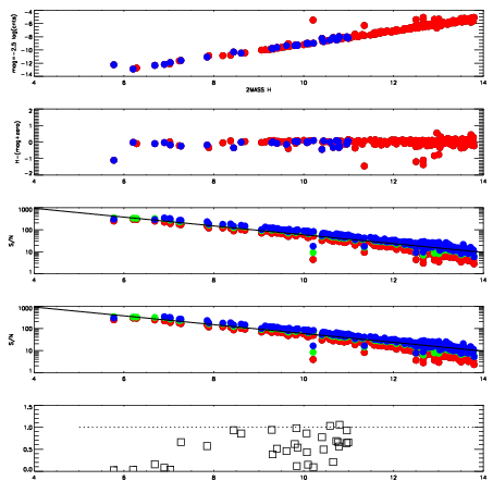
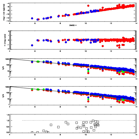
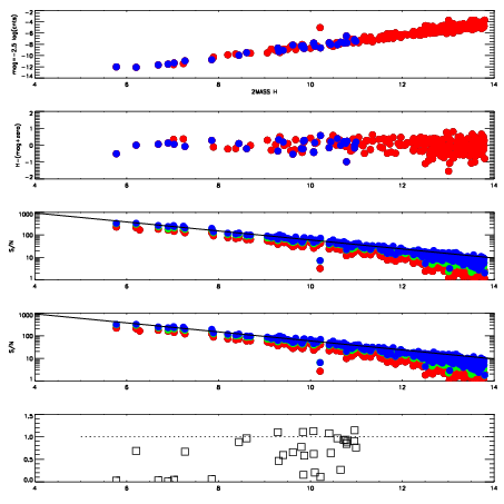
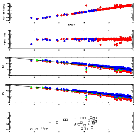
| Frame | Nreads | Zeropoints | Mag plots
| Spatial mag deviation
| Spatial sky 16325A emission deviations (filled: sky, open: star)
| Spatial sky continuum emission
| Spatial sky telluric CO2 absorption deviations (filled: H < 10)
|
| 2610028
| 47
| | Red | Green | Blue
| | z | | 18.95
| | znorm | | 14.77
| | sky | 14.5 | 14.4 | 14.2
| | S/N | 14.5 | 24.7 | 26.4
| | S/N(c) | 13.0 | 23.0 | 25.4
| | SN(E/C) | 0.56
|
|
|
|
|
|
|
| 2610029
| 47
| | Red | Green | Blue
| | z | | 19.10
| | znorm | | 14.92
| | sky | 14.7 | 14.4 | 14.4
| | S/N | 15.9 | 26.5 | 28.8
| | S/N(c) | 14.2 | 24.5 | 27.3
| | SN(E/C) | 0.57
|
|
|
|
|
|
|
| 2610030
| 47
| | Red | Green | Blue
| | z | | 19.09
| | znorm | | 14.91
| | sky | 14.4 | 14.4 | 14.4
| | S/N | 15.9 | 26.4 | 28.6
| | S/N(c) | 14.3 | 24.4 | 27.2
| | SN(E/C) | 0.61
|
|
|
|
|
|
|
| 2610031
| 47
| | Red | Green | Blue
| | z | | 19.21
| | znorm | | 15.03
| | sky | 14.5 | 14.3 | 14.4
| | S/N | 17.0 | 28.2 | 30.8
| | S/N(c) | 15.4 | 26.1 | 29.2
| | SN(E/C) | 0.54
|
|
|
|
|
|
|
| 2610032
| 47
| | Red | Green | Blue
| | z | | 19.09
| | znorm | | 14.91
| | sky | 14.6 | 14.5 | 14.3
| | S/N | 15.1 | 26.2 | 28.2
| | S/N(c) | 13.7 | 24.0 | 26.8
| | SN(E/C) | 0.55
|
|
|
|
|
|
|
| 2610033
| 47
| | Red | Green | Blue
| | z | | 19.06
| | znorm | | 14.88
| | sky | 14.5 | 14.5 | 14.3
| | S/N | 15.1 | 25.6 | 27.7
| | S/N(c) | 13.5 | 23.6 | 26.3
| | SN(E/C) | 0.54
|
|
|
|
|
|
|
| 2610034
| 47
| | Red | Green | Blue
| | z | | 18.29
| | znorm | | 14.11
| | sky | 14.6 | 14.7 | 14.6
| | S/N | 9.2 | 17.3 | 18.5
| | S/N(c) | 7.9 | 15.6 | 17.4
| | SN(E/C) | 0.68
|
|
|
|
|
|
|
| 2610035
| 47
| | Red | Green | Blue
| | z | | 17.70
| | znorm | | 13.52
| | sky | 14.7 | 14.7 | 14.7
| | S/N | 5.1 | 10.2 | 14.2
| | S/N(c) | 4.4 | 9.3 | 13.2
| | SN(E/C) | 0.87
|
|
|
|
|
|
|