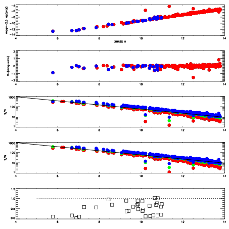
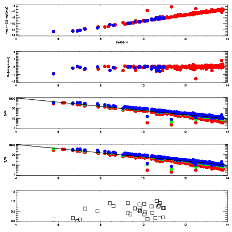
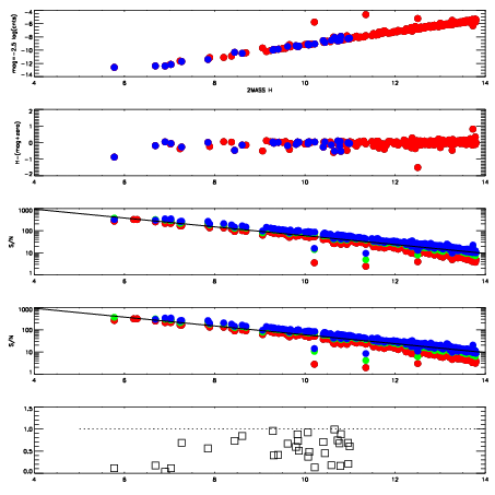
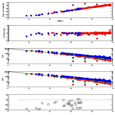
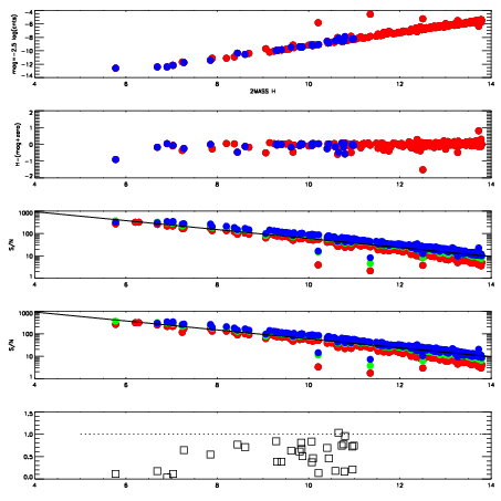
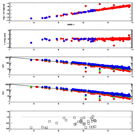
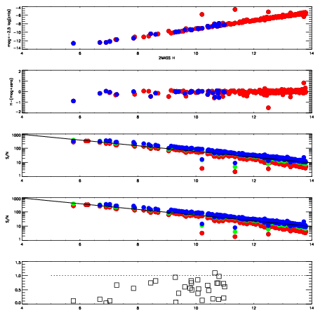
| Frame | Nreads | Zeropoints | Mag plots
| Spatial mag deviation
| Spatial sky 16325A emission deviations (filled: sky, open: star)
| Spatial sky continuum emission
| Spatial sky telluric CO2 absorption deviations (filled: H < 10)
|
| 2830019
| 47
| | Red | Green | Blue
| | z | | 19.23
| | znorm | | 15.05
| | sky | 14.6 | 14.4 | 14.7
| | S/N | 16.6 | 27.4 | 30.0
| | S/N(c) | 15.0 | 25.1 | 28.3
| | SN(E/C) | 0.63
|
|
|
|
|
|
|
| 2830020
| 47
| | Red | Green | Blue
| | z | | 19.26
| | znorm | | 15.08
| | sky | 14.6 | 14.4 | 14.6
| | S/N | 16.9 | 28.2 | 30.6
| | S/N(c) | 15.2 | 25.8 | 29.0
| | SN(E/C) | 0.63
|
|
|
|
|
|
|
| 2830021
| 47
| | Red | Green | Blue
| | z | | 19.26
| | znorm | | 15.08
| | sky | 14.6 | 14.5 | 14.7
| | S/N | 17.2 | 27.9 | 30.5
| | S/N(c) | 15.4 | 25.7 | 28.9
| | SN(E/C) | 0.60
|
|
|
|
|
|
|
| 2830022
| 47
| | Red | Green | Blue
| | z | | 19.24
| | znorm | | 15.06
| | sky | 14.7 | 14.5 | 14.5
| | S/N | 16.6 | 27.7 | 29.8
| | S/N(c) | 14.9 | 25.3 | 28.3
| | SN(E/C) | 0.61
|
|
|
|
|
|
|
| 2830023
| 47
| | Red | Green | Blue
| | z | | 19.25
| | znorm | | 15.07
| | sky | 14.5 | 14.4 | 14.6
| | S/N | 16.8 | 28.1 | 30.5
| | S/N(c) | 15.1 | 25.6 | 28.8
| | SN(E/C) | 0.60
|
|
|
|
|
|
|
| 2830024
| 47
| | Red | Green | Blue
| | z | | 19.26
| | znorm | | 15.08
| | sky | 14.5 | 14.5 | 14.5
| | S/N | 16.8 | 28.0 | 30.3
| | S/N(c) | 15.0 | 25.5 | 28.6
| | SN(E/C) | 0.63
|
|
|
|
|
|
|
| 2830025
| 47
| | Red | Green | Blue
| | z | | 19.26
| | znorm | | 15.08
| | sky | 14.6 | 14.5 | 14.6
| | S/N | 17.0 | 28.1 | 30.5
| | S/N(c) | 15.0 | 25.7 | 28.7
| | SN(E/C) | 0.64
|
|
|
|
|
|
|
| 2830026
| 47
| | Red | Green | Blue
| | z | | 19.25
| | znorm | | 15.07
| | sky | 14.8 | 14.5 | 14.6
| | S/N | 17.0 | 28.1 | 30.5
| | S/N(c) | 15.1 | 25.7 | 28.7
| | SN(E/C) | 0.63
|
|
|
|
|
|
|