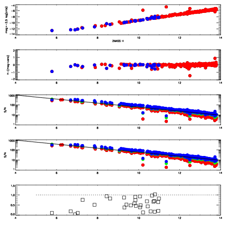
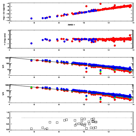
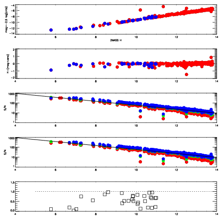
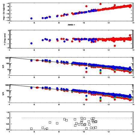
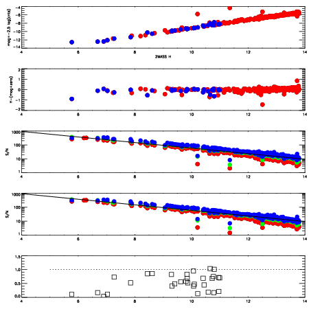
| Frame | Nreads | Zeropoints | Mag plots
| Spatial mag deviation
| Spatial sky 16325A emission deviations (filled: sky, open: star)
| Spatial sky continuum emission
| Spatial sky telluric CO2 absorption deviations (filled: H < 10)
|
| 2860027
| 47
| | Red | Green | Blue
| | z | | 19.21
| | znorm | | 15.03
| | sky | 14.5 | 14.4 | 14.3
| | S/N | 16.8 | 27.2 | 28.8
| | S/N(c) | 14.8 | 24.7 | 27.3
| | SN(E/C) | 0.60
|
|
|
|
|
|
|
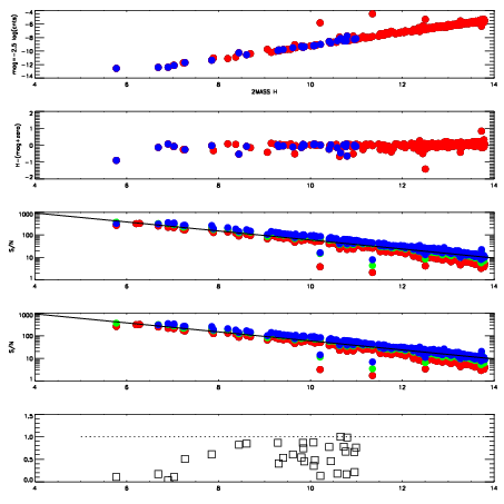
| 2860028
| 47
| | Red | Green | Blue
| | z | | 19.22
| | znorm | | 15.04
| | sky | 14.6 | 14.3 | 14.6
| | S/N | 16.8 | 27.1 | 29.0
| | S/N(c) | 14.9 | 24.9 | 27.4
| | SN(E/C) | 0.57
|
|
|
|
|
|
|
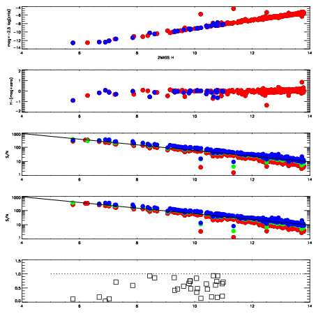
| 2860029
| 47
| | Red | Green | Blue
| | z | | 19.21
| | znorm | | 15.03
| | sky | 14.4 | 14.5 | 14.7
| | S/N | 16.7 | 27.4 | 29.2
| | S/N(c) | 15.0 | 25.0 | 27.6
| | SN(E/C) | 0.61
|
|
|
|
|
|
|
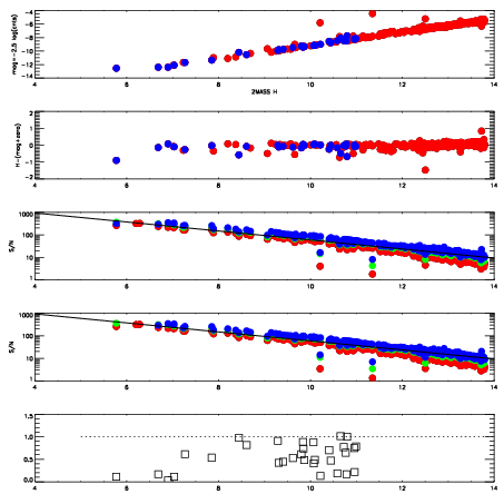
| 2860030
| 47
| | Red | Green | Blue
| | z | | 19.22
| | znorm | | 15.04
| | sky | 14.5 | 14.5 | 14.5
| | S/N | 17.0 | 27.9 | 29.9
| | S/N(c) | 15.3 | 25.7 | 28.3
| | SN(E/C) | 0.60
|
|
|
|
|
|
|
| 2860031
| 47
| | Red | Green | Blue
| | z | | 19.25
| | znorm | | 15.07
| | sky | 14.6 | 14.6 | 14.7
| | S/N | 17.0 | 28.1 | 30.0
| | S/N(c) | 15.1 | 25.8 | 28.4
| | SN(E/C) | 0.61
|
|
|
|
|
|
|
| 2860032
| 47
| | Red | Green | Blue
| | z | | 19.23
| | znorm | | 15.05
| | sky | 14.4 | 14.6 | 14.7
| | S/N | 17.1 | 28.2 | 30.1
| | S/N(c) | 15.2 | 25.5 | 28.4
| | SN(E/C) | 0.62
|
|
|
|
|
|
|
| 2860033
| 47
| | Red | Green | Blue
| | z | | 19.22
| | znorm | | 15.04
| | sky | 14.8 | 14.6 | 14.6
| | S/N | 17.1 | 28.2 | 30.2
| | S/N(c) | 15.2 | 25.8 | 28.5
| | SN(E/C) | 0.58
|
|
|
|
|
|
|
| 2860034
| 47
| | Red | Green | Blue
| | z | | 19.21
| | znorm | | 15.03
| | sky | 14.7 | 14.5 | 14.7
| | S/N | 16.9 | 28.1 | 30.1
| | S/N(c) | 15.0 | 25.7 | 28.3
| | SN(E/C) | 0.60
|
|
|
|
|
|
|