PLATE: 5282 MJD: 55815 FIELD: PAL1

FrameCartsec zseeingNreadsDitherPixshiftZerosky continuumS/NS/N(c)
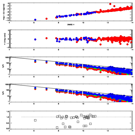
2530032 7 1.46 1.68 47 0.00 -0.00 17.42 [14.31,14.12,14.18] [ 4.6, 9.3, 11.8] [ 4.0, 8.4, 11.2]
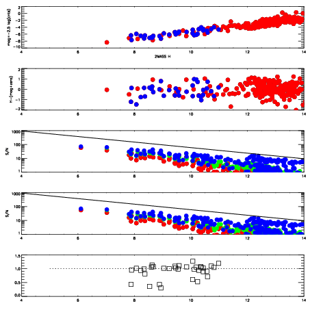
2530033 7 1.46 1.67 47 0.33 0.00 16.60 [14.21,14.16,14.34] [ 2.5, 5.0, 5.6] [ 2.2, 4.5, 5.4]
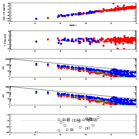
2530034 7 1.46 1.46 47 0.35 0.00 14.76 [14.46,14.64,14.92] [ 0.4, 1.5, 1.3] [ 0.6, 1.5, 1.2]
2530035 7 1.46 2.20 47 -0.05 -0.00 15.44 [14.85,14.74,14.90] [ 1.2, 3.3, 4.6] [ 1.2, 3.3, 4.2]

IPAIRNAMESHIFTNEWSHIFTS/N NAMESHIFTNEWSHIFTS/N
0 02530034 0.351 0.000 33.93 02530035 -0.048 0.398 55.74
1 02530033 0.329 0.021 106.44 02530032 0.000 0.351 156.89

Visit (multiple exposure and dither combined) spectra

FrameZeropointsMag plots Spatial mag deviation Spatial sky 16325A emission deviations (filled: sky, open: star) Spatial sky continuum emission Spatial sky telluric CO2 absorption deviations (filled: H < 10)
2530032
RedGreenBlue
z17.42
znorm13.24
sky 14.3 14.1 14.2
S/N 4.6 9.3 11.8
S/N(c) 4.0 8.4 11.2
SN(E/C) 0.95
2530033
RedGreenBlue
z16.60
znorm12.42
sky 14.2 14.2 14.3
S/N 2.5 5.0 5.6
S/N(c) 2.2 4.5 5.4
SN(E/C) 1.02
2530034
RedGreenBlue
z14.76
znorm10.58
sky 14.5 14.6 14.9
S/N 0.4 1.5 1.3
S/N(c) 0.6 1.5 1.2
SN(E/C) 1.07
2530035
RedGreenBlue
z15.44
znorm11.25
sky 14.8 14.7 14.9
S/N 1.2 3.3 4.6
S/N(c) 1.2 3.3 4.2
SN(E/C) 1.01