PLATE: 5282 MJD: 55823 FIELD: PAL1

FrameCartsec zseeingNreadsDitherPixshiftZerosky continuumS/NS/N(c)
2610065 7 1.46 1.03 47 0.00 -0.00 18.92 [15.33,14.70,15.09] [ 14.8, 24.5, 30.0] [ 13.4, 23.3, 28.5]
2610066 7 1.46 1.14 47 0.29 -0.00 18.97 [15.18,14.83,15.20] [ 14.9, 24.7, 30.4] [ 13.5, 23.5, 29.0]
2610067 7 1.46 1.21 47 0.29 -0.00 18.99 [14.76,14.82,15.08] [ 15.5, 25.3, 30.2] [ 14.0, 24.1, 28.7]
2610068 7 1.46 1.07 47 -0.05 -0.00 18.79 [15.00,15.02,15.07] [ 13.6, 22.5, 27.4] [ 12.1, 21.4, 26.0]
2610069 7 1.46 1.10 47 -0.05 0.00 18.94 [14.88,14.85,15.05] [ 15.5, 24.4, 29.7] [ 14.3, 23.4, 28.2]
2610070 7 1.46 1.14 47 0.29 0.00 18.79 [14.67,14.94,15.29] [ 13.6, 22.2, 27.5] [ 12.4, 21.0, 26.0]
2610071 7 1.46 1.21 47 0.29 0.00 18.80 [14.98,15.02,15.22] [ 14.1, 22.8, 28.0] [ 12.8, 21.7, 26.4]
2610072 7 1.47 1.31 47 -0.05 -0.00 18.72 [14.76,15.08,15.25] [ 12.9, 21.5, 26.7] [ 11.8, 20.3, 25.3]

IPAIRNAMESHIFTNEWSHIFTS/N NAMESHIFTNEWSHIFTS/N
0 02610070 0.295 0.000 313.89 02610068 -0.050 0.344 298.82
1 02610066 0.286 0.009 320.49 02610069 -0.051 0.345 326.83
2 02610067 0.288 0.006 320.35 02610065 0.000 0.295 313.67
3 02610071 0.289 0.006 319.81 02610072 -0.046 0.340 309.39

Visit (multiple exposure and dither combined) spectra

FrameZeropointsMag plots Spatial mag deviation Spatial sky 16325A emission deviations (filled: sky, open: star) Spatial sky continuum emission Spatial sky telluric CO2 absorption deviations (filled: H < 10)
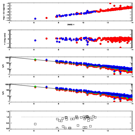
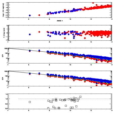
2610065
RedGreenBlue
z18.92
znorm14.74
sky 15.3 14.7 15.1
S/N 14.8 24.5 30.0
S/N(c) 13.4 23.3 28.5
SN(E/C) 0.86
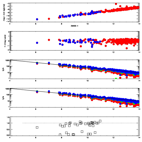
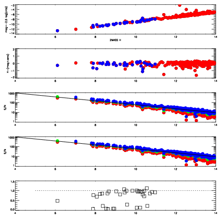
2610066
RedGreenBlue
z18.97
znorm14.79
sky 15.2 14.8 15.2
S/N 14.9 24.7 30.4
S/N(c) 13.5 23.5 29.0
SN(E/C) 0.84
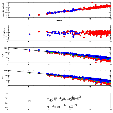
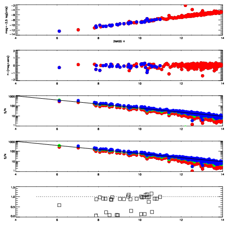
2610067
RedGreenBlue
z18.99
znorm14.81
sky 14.8 14.8 15.1
S/N 15.5 25.3 30.2
S/N(c) 14.0 24.1 28.7
SN(E/C) 0.85
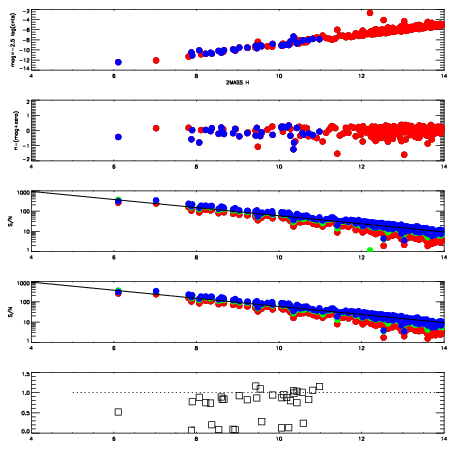
2610068
RedGreenBlue
z18.79
znorm14.61
sky 15.0 15.0 15.1
S/N 13.6 22.5 27.4
S/N(c) 12.1 21.4 26.0
SN(E/C) 0.89
2610069
RedGreenBlue
z18.94
znorm14.76
sky 14.9 14.8 15.0
S/N 15.5 24.4 29.7
S/N(c) 14.3 23.4 28.2
SN(E/C) 0.83
2610070
RedGreenBlue
z18.79
znorm14.61
sky 14.7 14.9 15.3
S/N 13.6 22.2 27.5
S/N(c) 12.4 21.0 26.0
SN(E/C) 0.91
2610071
RedGreenBlue
z18.80
znorm14.62
sky 15.0 15.0 15.2
S/N 14.1 22.8 28.0
S/N(c) 12.8 21.7 26.4
SN(E/C) 0.85
2610072
RedGreenBlue
z18.72
znorm14.54
sky 14.8 15.1 15.3
S/N 12.9 21.5 26.7
S/N(c) 11.8 20.3 25.3
SN(E/C) 0.85