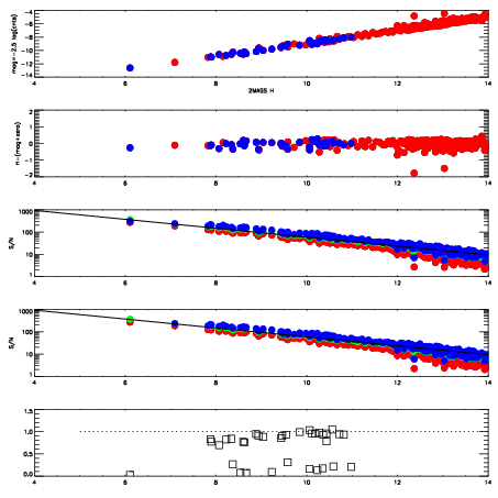
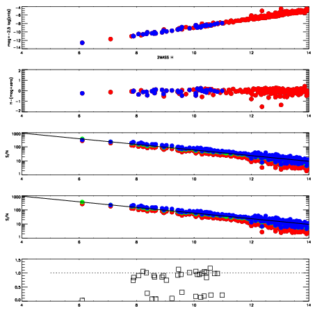
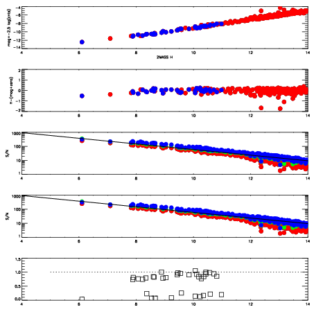
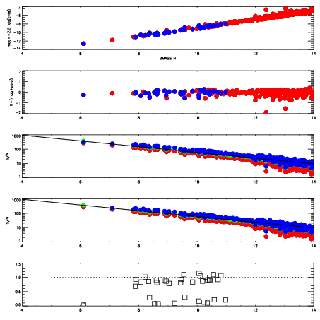
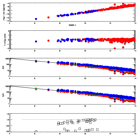
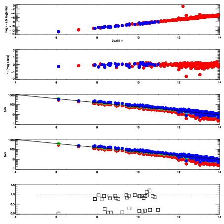
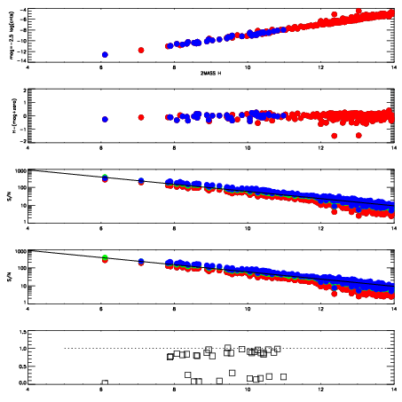
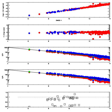
| Frame | Nreads | Zeropoints | Mag plots
| Spatial mag deviation
| Spatial sky 16325A emission deviations (filled: sky, open: star)
| Spatial sky continuum emission
| Spatial sky telluric CO2 absorption deviations (filled: H < 10)
|
| 2610050
| 47
| | Red | Green | Blue
| | z | | 18.91
| | znorm | | 14.73
| | sky | 15.2 | 14.7 | 14.7
| | S/N | 12.8 | 22.3 | 29.2
| | S/N(c) | 11.2 | 20.9 | 28.2
| | SN(E/C) | 0.90
|
|
|
|
|
|
|
| 2610051
| 47
| | Red | Green | Blue
| | z | | 18.98
| | znorm | | 14.80
| | sky | 15.0 | 14.7 | 14.9
| | S/N | 13.1 | 22.3 | 28.1
| | S/N(c) | 11.5 | 21.0 | 27.1
| | SN(E/C) | 0.85
|
|
|
|
|
|
|
| 2610052
| 47
| | Red | Green | Blue
| | z | | 18.95
| | znorm | | 14.77
| | sky | 14.7 | 14.7 | 15.1
| | S/N | 12.8 | 21.1 | 27.4
| | S/N(c) | 11.5 | 19.7 | 26.4
| | SN(E/C) | 0.81
|
|
|
|
|
|
|
| 2610053
| 47
| | Red | Green | Blue
| | z | | 18.96
| | znorm | | 14.78
| | sky | 14.9 | 14.8 | 15.1
| | S/N | 13.3 | 21.2 | 26.9
| | S/N(c) | 11.7 | 19.8 | 25.6
| | SN(E/C) | 0.83
|
|
|
|
|
|
|
| 2610054
| 47
| | Red | Green | Blue
| | z | | 18.98
| | znorm | | 14.80
| | sky | 14.9 | 14.9 | 15.1
| | S/N | 13.1 | 21.2 | 26.6
| | S/N(c) | 11.7 | 19.9 | 25.1
| | SN(E/C) | 0.83
|
|
|
|
|
|
|
| 2610055
| 47
| | Red | Green | Blue
| | z | | 19.09
| | znorm | | 14.91
| | sky | 15.0 | 14.9 | 15.2
| | S/N | 13.8 | 22.1 | 28.3
| | S/N(c) | 12.5 | 20.8 | 26.9
| | SN(E/C) | 0.82
|
|
|
|
|
|
|
| 2610056
| 47
| | Red | Green | Blue
| | z | | 19.15
| | znorm | | 14.97
| | sky | 15.0 | 15.1 | 15.1
| | S/N | 13.5 | 21.9 | 28.9
| | S/N(c) | 12.1 | 20.6 | 27.7
| | SN(E/C) | 0.75
|
|
|
|
|
|
|
| 2610057
| 47
| | Red | Green | Blue
| | z | | 19.05
| | znorm | | 14.87
| | sky | 15.1 | 14.9 | 15.2
| | S/N | 12.5 | 20.5 | 25.8
| | S/N(c) | 11.2 | 19.2 | 24.7
| | SN(E/C) | 0.80
|
|
|
|
|
|
|