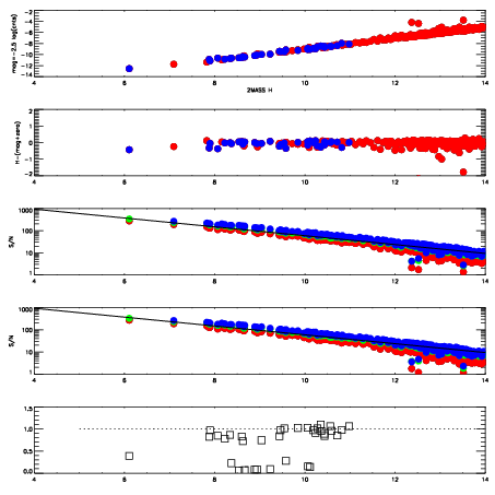
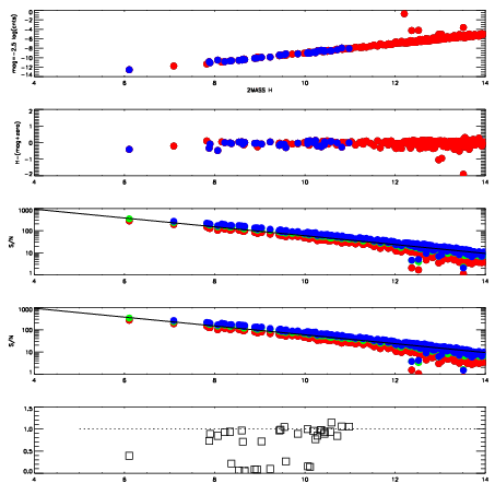
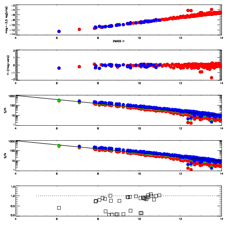
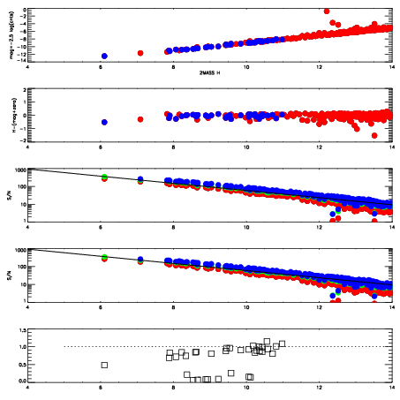
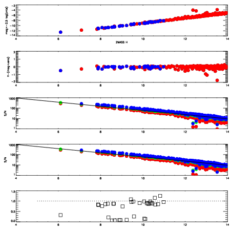
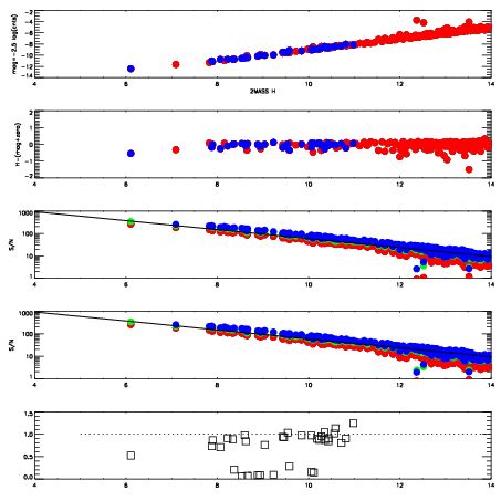
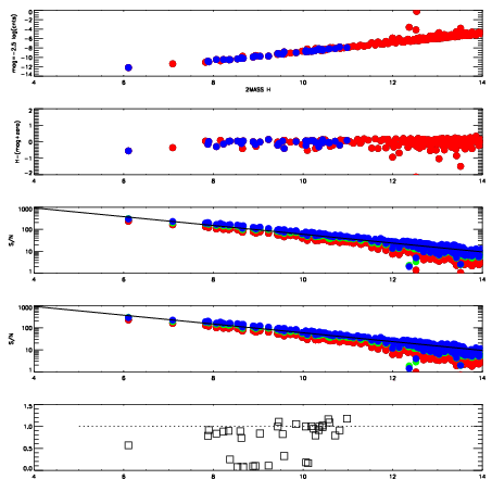
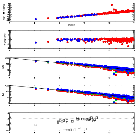
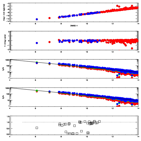
| Frame | Nreads | Zeropoints | Mag plots
| Spatial mag deviation
| Spatial sky 16325A emission deviations (filled: sky, open: star)
| Spatial sky continuum emission
| Spatial sky telluric CO2 absorption deviations (filled: H < 10)
|
| 3120047
| 47
| | Red | Green | Blue
| | z | | 18.95
| | znorm | | 14.77
| | sky | 14.6 | 14.5 | 14.9
| | S/N | 11.1 | 19.5 | 28.9
| | S/N(c) | 9.5 | 18.2 | 27.0
| | SN(E/C) | 0.85
|
|
|
|
|
|
|
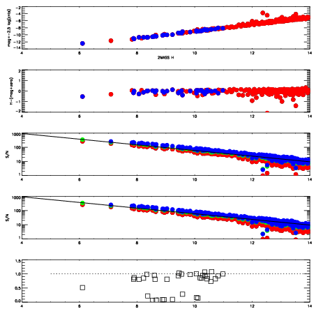
| 3120048
| 47
| | Red | Green | Blue
| | z | | 19.02
| | znorm | | 14.84
| | sky | 14.8 | 14.6 | 15.0
| | S/N | 11.6 | 20.2 | 25.9
| | S/N(c) | 9.9 | 18.7 | 24.9
| | SN(E/C) | 0.86
|
|
|
|
|
|
|
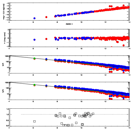
| 3120049
| 47
| | Red | Green | Blue
| | z | | 18.82
| | znorm | | 14.64
| | sky | 14.6 | 14.3 | 14.6
| | S/N | 10.4 | 18.4 | 23.8
| | S/N(c) | 9.0 | 16.8 | 22.8
| | SN(E/C) | 0.88
|
|
|
|
|
|
|
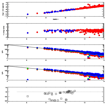
| 3120050
| 47
| | Red | Green | Blue
| | z | | 19.05
| | znorm | | 14.87
| | sky | 14.9 | 14.7 | 15.0
| | S/N | 12.3 | 21.8 | 24.6
| | S/N(c) | 10.7 | 20.0 | 23.6
| | SN(E/C) | 0.84
|
|
|
|
|
|
|
| 3120051
| 47
| | Red | Green | Blue
| | z | | 19.06
| | znorm | | 14.88
| | sky | 14.9 | 14.7 | 15.1
| | S/N | 12.4 | 21.3 | 23.7
| | S/N(c) | 10.7 | 19.6 | 22.6
| | SN(E/C) | 0.87
|
|
|
|
|
|
|
| 3120052
| 47
| | Red | Green | Blue
| | z | | 19.08
| | znorm | | 14.90
| | sky | 14.9 | 14.7 | 15.2
| | S/N | 12.3 | 21.8 | 23.4
| | S/N(c) | 10.5 | 20.1 | 22.3
| | SN(E/C) | 0.84
|
|
|
|
|
|
|
| 3120053
| 47
| | Red | Green | Blue
| | z | | 18.98
| | znorm | | 14.80
| | sky | 14.9 | 14.7 | 14.8
| | S/N | 10.8 | 19.2 | 22.3
| | S/N(c) | 9.2 | 17.6 | 21.2
| | SN(E/C) | 0.87
|
|
|
|
|
|
|
| 3120054
| 47
| | Red | Green | Blue
| | z | | 19.12
| | znorm | | 14.94
| | sky | 15.4 | 14.9 | 15.2
| | S/N | 12.5 | 21.9 | 23.6
| | S/N(c) | 10.9 | 20.2 | 22.3
| | SN(E/C) | 0.86
|
|
|
|
|
|
|
| 3120055
| 47
| | Red | Green | Blue
| | z | | 19.07
| | znorm | | 14.89
| | sky | 15.3 | 14.7 | 15.1
| | S/N | 12.0 | 21.1 | 23.5
| | S/N(c) | 10.3 | 19.5 | 22.3
| | SN(E/C) | 0.85
|
|
|
|
|
|
|
| 3120056
| 47
| | Red | Green | Blue
| | z | | 19.03
| | znorm | | 14.85
| | sky | 14.9 | 14.8 | 15.2
| | S/N | 11.6 | 21.0 | 22.8
| | S/N(c) | 10.2 | 19.3 | 21.5
| | SN(E/C) | 0.86
|
|
|
|
|
|
|
| 3120057
| 47
| | Red | Green | Blue
| | z | | 19.07
| | znorm | | 14.89
| | sky | 15.0 | 14.9 | 15.2
| | S/N | 11.9 | 21.3 | 22.8
| | S/N(c) | 10.5 | 19.6 | 21.8
| | SN(E/C) | 0.84
|
|
|
|
|
|
|
| 3120058
| 47
| | Red | Green | Blue
| | z | | 19.04
| | znorm | | 14.86
| | sky | 14.8 | 14.7 | 15.1
| | S/N | 11.9 | 21.2 | 22.7
| | S/N(c) | 10.5 | 19.4 | 21.5
| | SN(E/C) | 0.89
|
|
|
|
|
|
|