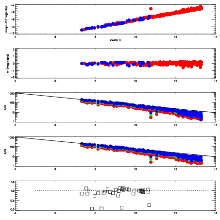
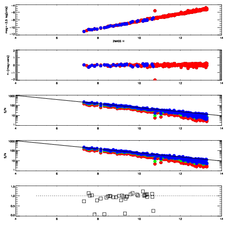
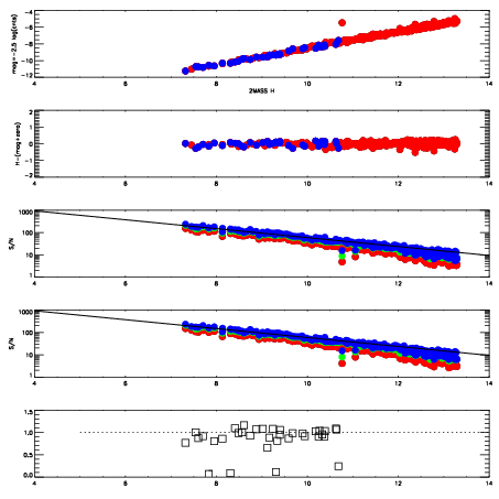
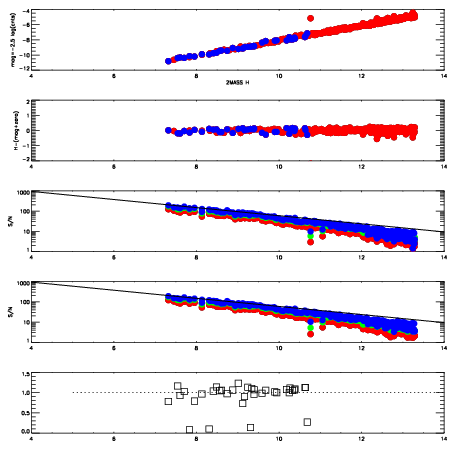
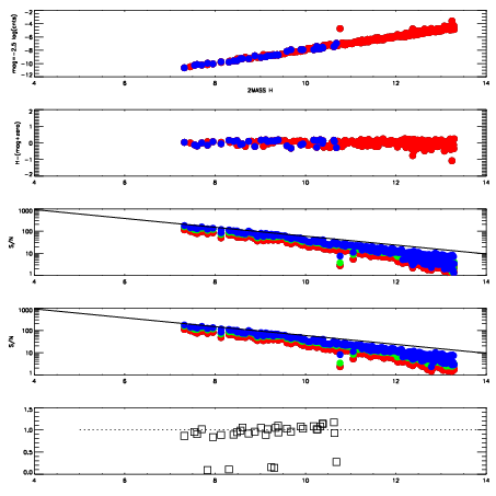
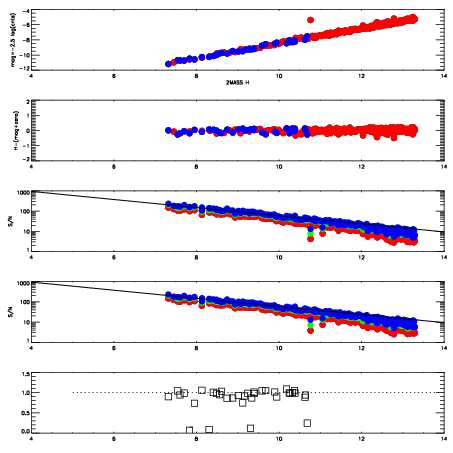
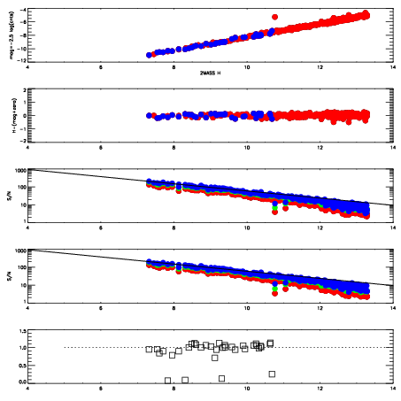
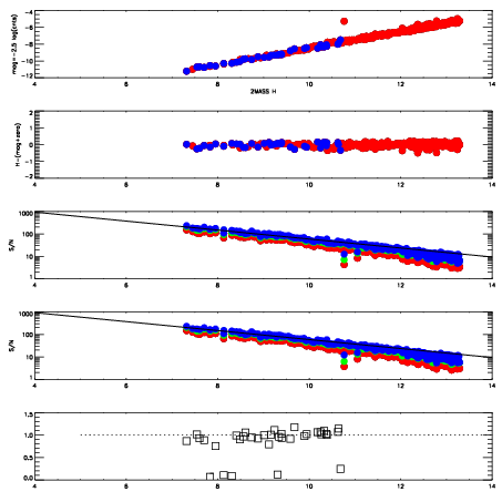
| Frame | Nreads | Zeropoints | Mag plots
| Spatial mag deviation
| Spatial sky 16325A emission deviations (filled: sky, open: star)
| Spatial sky continuum emission
| Spatial sky telluric CO2 absorption deviations (filled: H < 10)
|
| 3140047
| 47
| | Red | Green | Blue
| | z | | 18.34
| | znorm | | 14.16
| | sky | 13.4 | 13.2 | 13.1
| | S/N | 9.2 | 15.4 | 19.0
| | S/N(c) | 8.0 | 14.3 | 18.2
| | SN(E/C) | 0.97
|
|
|
|
|
|
|
| 3140048
| 47
| | Red | Green | Blue
| | z | | 18.54
| | znorm | | 14.36
| | sky | 13.5 | 13.4 | 13.4
| | S/N | 10.5 | 17.6 | 21.9
| | S/N(c) | 9.3 | 16.5 | 21.2
| | SN(E/C) | 0.95
|
|
|
|
|
|
|
| 3140049
| 47
| | Red | Green | Blue
| | z | | 18.46
| | znorm | | 14.28
| | sky | 13.4 | 13.3 | 13.3
| | S/N | 10.0 | 16.5 | 20.8
| | S/N(c) | 8.8 | 15.3 | 19.9
| | SN(E/C) | 0.97
|
|
|
|
|
|
|
| 3140050
| 47
| | Red | Green | Blue
| | z | | 18.49
| | znorm | | 14.31
| | sky | 13.2 | 13.1 | 13.1
| | S/N | 9.7 | 16.0 | 20.0
| | S/N(c) | 8.6 | 14.7 | 19.5
| | SN(E/C) | 0.98
|
|
|
|
|
|
|
| 3140051
| 47
| | Red | Green | Blue
| | z | | 18.52
| | znorm | | 14.34
| | sky | 13.1 | 13.1 | 13.1
| | S/N | 10.1 | 16.2 | 20.3
| | S/N(c) | 9.0 | 14.9 | 19.5
| | SN(E/C) | 0.97
|
|
|
|
|
|
|
| 3140052
| 47
| | Red | Green | Blue
| | z | | 18.27
| | znorm | | 14.09
| | sky | 13.0 | 12.9 | 12.9
| | S/N | 8.2 | 13.4 | 16.6
| | S/N(c) | 7.2 | 12.3 | 16.4
| | SN(E/C) | 1.00
|
|
|
|
|
|
|
| 3140053
| 47
| | Red | Green | Blue
| | z | | 18.11
| | znorm | | 13.93
| | sky | 12.7 | 12.6 | 12.6
| | S/N | 6.5 | 11.3 | 14.1
| | S/N(c) | 5.7 | 10.2 | 13.9
| | SN(E/C) | 1.03
|
|
|
|
|
|
|
| 3140054
| 47
| | Red | Green | Blue
| | z | | 17.85
| | znorm | | 13.67
| | sky | 12.4 | 12.4 | 12.4
| | S/N | 5.2 | 8.6 | 11.9
| | S/N(c) | 4.7 | 7.6 | 11.0
| | SN(E/C) | 0.97
|
|
|
|
|
|
|
| 3140055
| 47
| | Red | Green | Blue
| | z | | 17.82
| | znorm | | 13.64
| | sky | 12.4 | 12.3 | 12.3
| | S/N | 4.9 | 8.4 | 11.5
| | S/N(c) | 4.4 | 7.4 | 10.7
| | SN(E/C) | 0.99
|
|
|
|
|
|
|
| 3140056
| 47
| | Red | Green | Blue
| | z | | 17.92
| | znorm | | 13.74
| | sky | 12.4 | 12.3 | 12.3
| | S/N | 5.5 | 8.8 | 12.3
| | S/N(c) | 5.0 | 7.9 | 11.6
| | SN(E/C) | 0.96
|
|
|
|
|
|
|
| 3140057
| 47
| | Red | Green | Blue
| | z | | 18.22
| | znorm | | 14.04
| | sky | 12.7 | 12.6 | 12.6
| | S/N | 7.1 | 11.6 | 14.7
| | S/N(c) | 6.4 | 10.6 | 14.4
| | SN(E/C) | 0.96
|
|
|
|
|
|
|
| 3140058
| 47
| | Red | Green | Blue
| | z | | 17.88
| | znorm | | 13.70
| | sky | 12.4 | 12.4 | 12.4
| | S/N | 5.1 | 8.4 | 11.9
| | S/N(c) | 4.7 | 7.7 | 11.2
| | SN(E/C) | 1.03
|
|
|
|
|
|
|