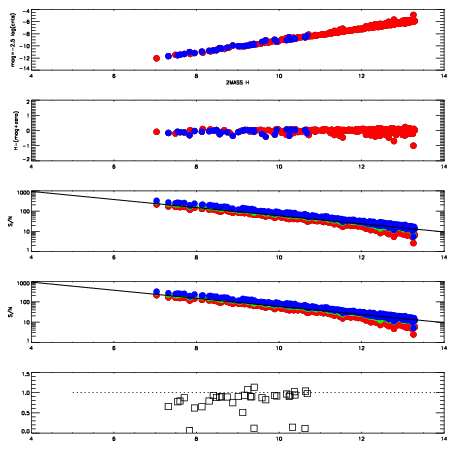
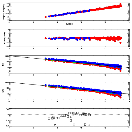
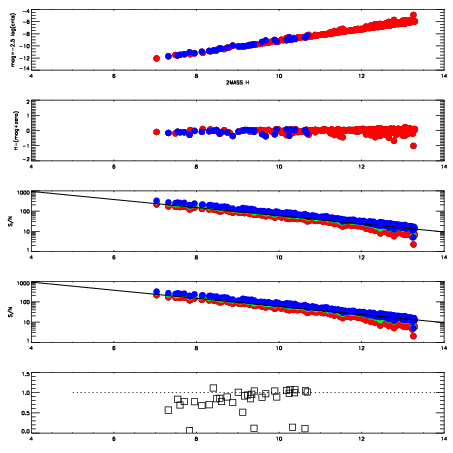
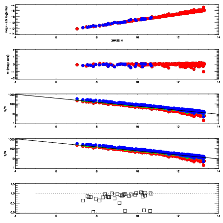
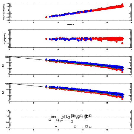
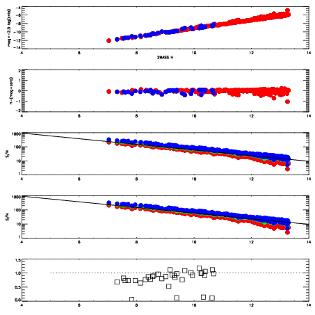
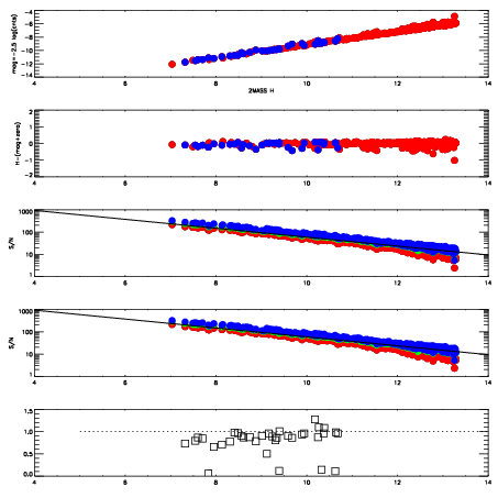
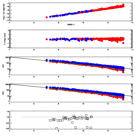
| Frame | Nreads | Zeropoints | Mag plots
| Spatial mag deviation
| Spatial sky 16325A emission deviations (filled: sky, open: star)
| Spatial sky continuum emission
| Spatial sky telluric CO2 absorption deviations (filled: H < 10)
|
| 2860075
| 47
| | Red | Green | Blue
| | z | | 19.13
| | znorm | | 14.95
| | sky | 15.0 | 14.8 | 15.1
| | S/N | 16.2 | 26.6 | 28.2
| | S/N(c) | 14.7 | 25.2 | 26.4
| | SN(E/C) | 0.93
|
|
|
|
|
|
|
| 2860076
| 47
| | Red | Green | Blue
| | z | | 19.16
| | znorm | | 14.98
| | sky | 15.2 | 14.8 | 15.2
| | S/N | 16.5 | 27.3 | 28.6
| | S/N(c) | 14.7 | 25.8 | 26.7
| | SN(E/C) | 0.87
|
|
|
|
|
|
|
| 2860077
| 47
| | Red | Green | Blue
| | z | | 19.17
| | znorm | | 14.99
| | sky | 14.7 | 14.8 | 15.3
| | S/N | 16.3 | 27.2 | 28.8
| | S/N(c) | 14.5 | 25.8 | 27.0
| | SN(E/C) | 0.87
|
|
|
|
|
|
|
| 2860078
| 47
| | Red | Green | Blue
| | z | | 19.14
| | znorm | | 14.96
| | sky | 15.0 | 14.8 | 15.2
| | S/N | 16.3 | 27.0 | 28.5
| | S/N(c) | 14.6 | 25.4 | 26.8
| | SN(E/C) | 0.93
|
|
|
|
|
|
|
| 2860079
| 47
| | Red | Green | Blue
| | z | | 19.15
| | znorm | | 14.97
| | sky | 14.8 | 14.9 | 15.2
| | S/N | 16.2 | 27.1 | 28.6
| | S/N(c) | 14.6 | 25.5 | 26.9
| | SN(E/C) | 0.87
|
|
|
|
|
|
|
| 2860080
| 47
| | Red | Green | Blue
| | z | | 19.17
| | znorm | | 14.98
| | sky | 14.8 | 14.9 | 15.2
| | S/N | 16.5 | 27.2 | 28.8
| | S/N(c) | 14.6 | 25.3 | 27.1
| | SN(E/C) | 0.87
|
|
|
|
|
|
|
| 2860081
| 47
| | Red | Green | Blue
| | z | | 19.16
| | znorm | | 14.98
| | sky | 15.0 | 14.9 | 15.1
| | S/N | 16.4 | 26.9 | 28.8
| | S/N(c) | 14.7 | 25.2 | 27.0
| | SN(E/C) | 0.89
|
|
|
|
|
|
|
| 2860082
| 47
| | Red | Green | Blue
| | z | | 19.18
| | znorm | | 15.00
| | sky | 14.8 | 14.8 | 15.1
| | S/N | 16.6 | 27.4 | 29.2
| | S/N(c) | 14.9 | 25.7 | 27.4
| | SN(E/C) | 0.88
|
|
|
|
|
|
|