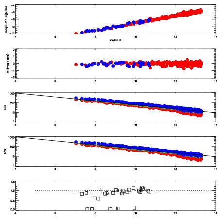
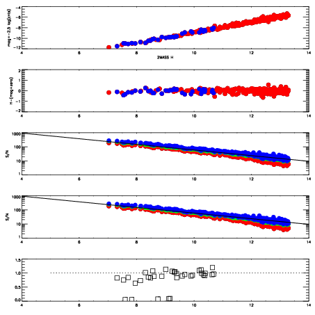
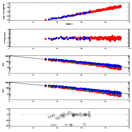
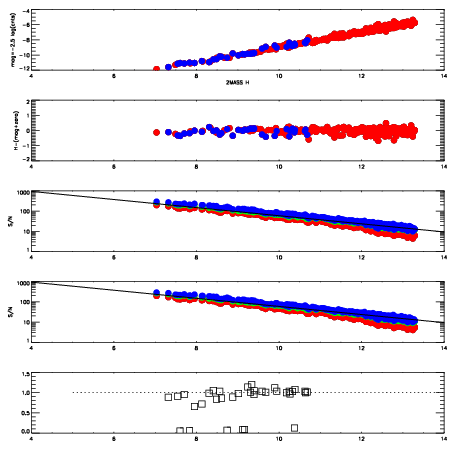
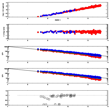
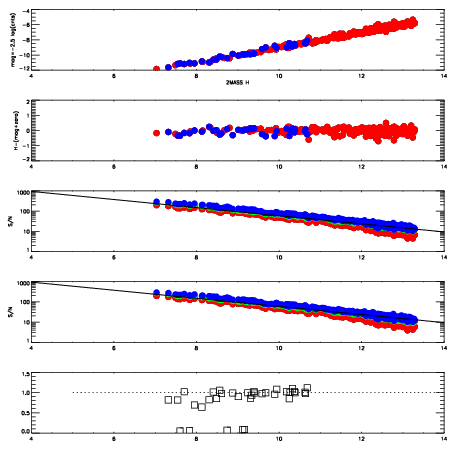
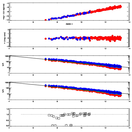
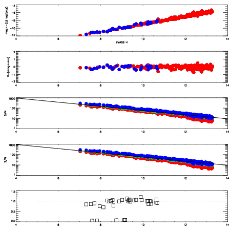
| Frame | Nreads | Zeropoints | Mag plots
| Spatial mag deviation
| Spatial sky 16325A emission deviations (filled: sky, open: star)
| Spatial sky continuum emission
| Spatial sky telluric CO2 absorption deviations (filled: H < 10)
|
| 2900036
| 47
| | Red | Green | Blue
| | z | | 18.92
| | znorm | | 14.74
| | sky | 14.6 | 14.8 | 15.2
| | S/N | 14.5 | 24.3 | 25.7
| | S/N(c) | 12.8 | 23.0 | 24.7
| | SN(E/C) | 0.90
|
|
|
|
|
|
|
| 2900037
| 47
| | Red | Green | Blue
| | z | | 18.98
| | znorm | | 14.80
| | sky | 15.0 | 14.8 | 15.2
| | S/N | 14.8 | 24.5 | 26.0
| | S/N(c) | 12.9 | 22.9 | 25.0
| | SN(E/C) | 0.92
|
|
|
|
|
|
|
| 2900038
| 47
| | Red | Green | Blue
| | z | | 19.03
| | znorm | | 14.84
| | sky | 15.0 | 14.8 | 15.2
| | S/N | 15.2 | 25.1 | 26.6
| | S/N(c) | 13.4 | 23.4 | 25.3
| | SN(E/C) | 0.93
|
|
|
|
|
|
|
| 2900039
| 47
| | Red | Green | Blue
| | z | | 19.05
| | znorm | | 14.87
| | sky | 14.9 | 14.8 | 15.1
| | S/N | 15.4 | 25.3 | 26.9
| | S/N(c) | 13.6 | 23.6 | 25.7
| | SN(E/C) | 0.98
|
|
|
|
|
|
|
| 2900040
| 47
| | Red | Green | Blue
| | z | | 19.02
| | znorm | | 14.84
| | sky | 14.9 | 15.0 | 15.1
| | S/N | 15.0 | 24.8 | 26.4
| | S/N(c) | 13.2 | 22.9 | 25.4
| | SN(E/C) | 0.91
|
|
|
|
|
|
|
| 2900041
| 47
| | Red | Green | Blue
| | z | | 19.06
| | znorm | | 14.88
| | sky | 15.1 | 15.0 | 15.2
| | S/N | 15.4 | 25.3 | 27.0
| | S/N(c) | 13.5 | 23.4 | 25.5
| | SN(E/C) | 0.94
|
|
|
|
|
|
|
| 2900042
| 47
| | Red | Green | Blue
| | z | | 19.01
| | znorm | | 14.83
| | sky | 15.0 | 15.1 | 15.2
| | S/N | 14.6 | 24.6 | 26.3
| | S/N(c) | 12.9 | 22.7 | 25.0
| | SN(E/C) | 0.98
|
|
|
|
|
|
|
| 2900043
| 47
| | Red | Green | Blue
| | z | | 19.00
| | znorm | | 14.82
| | sky | 14.8 | 15.1 | 15.2
| | S/N | 14.7 | 24.7 | 26.3
| | S/N(c) | 13.1 | 22.9 | 24.8
| | SN(E/C) | 0.98
|
|
|
|
|
|
|