PLATE: 5498 MJD: 55930 FIELD: 150-04

FrameCartsec zseeingNreadsDitherPixshiftZerosky continuumS/NS/N(c)
3680019 8 1.12 1.93 47 0.00 -0.00 19.06 [14.77,14.34,14.43] [ 16.1, 26.0, 27.0] [ 14.3, 24.2, 25.3]
3680020 8 1.11 1.46 47 0.40 -0.00 19.10 [14.95,14.40,14.66] [ 16.4, 26.7, 27.6] [ 14.6, 24.6, 25.9]
3680021 8 1.10 1.50 47 0.41 0.00 18.97 [14.88,14.48,14.61] [ 15.2, 25.1, 25.8] [ 13.4, 22.9, 24.3]
3680022 8 1.09 1.94 47 -0.04 -0.00 19.02 [14.60,14.42,14.48] [ 15.8, 25.9, 26.3] [ 14.1, 23.5, 24.8]
3680023 8 1.08 1.54 47 -0.04 -0.00 19.02 [14.86,14.54,14.53] [ 15.8, 26.1, 26.6] [ 14.0, 23.8, 25.0]
3680024 8 1.07 1.65 47 0.41 0.00 18.91 [14.80,14.46,14.56] [ 14.4, 24.3, 24.5] [ 13.0, 22.0, 23.1]
3680025 8 1.06 1.65 47 0.40 0.00 19.00 [14.74,14.50,14.46] [ 15.6, 25.8, 26.0] [ 13.7, 23.4, 24.7]
3680026 8 1.06 1.73 47 -0.04 -0.00 18.98 [14.69,14.61,14.56] [ 15.3, 25.0, 25.8] [ 13.4, 23.0, 24.4]

IPAIRNAMESHIFTNEWSHIFTS/N NAMESHIFTNEWSHIFTS/N
0 03680021 0.413 0.000 274.28 03680022 -0.038 0.450 279.87
1 03680020 0.401 0.012 285.62 03680019 0.000 0.413 286.10
2 03680025 0.404 0.009 278.22 03680023 -0.039 0.452 280.43
3 03680024 0.407 0.006 268.83 03680026 -0.040 0.453 278.22

Visit (multiple exposure and dither combined) spectra

FrameZeropointsMag plots Spatial mag deviation Spatial sky 16325A emission deviations (filled: sky, open: star) Spatial sky continuum emission Spatial sky telluric CO2 absorption deviations (filled: H < 10)
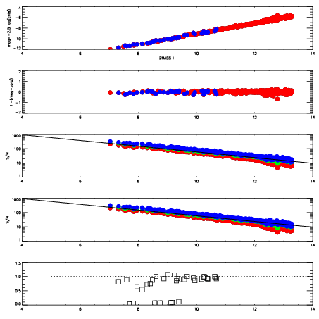
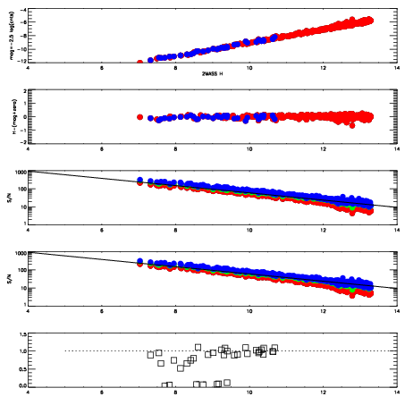
3680019
RedGreenBlue
z19.06
znorm14.88
sky 14.8 14.3 14.4
S/N 16.1 26.0 27.0
S/N(c) 14.3 24.2 25.3
SN(E/C) 0.90
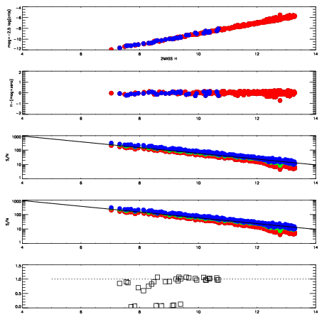
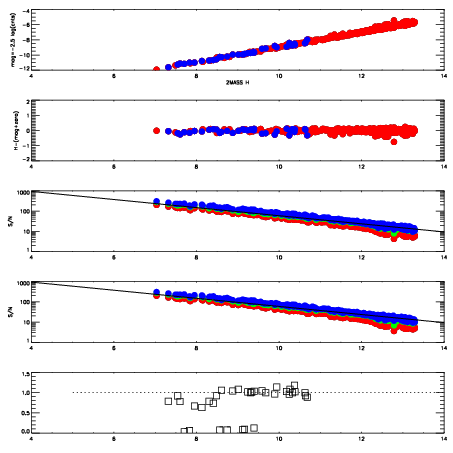
3680020
RedGreenBlue
z19.10
znorm14.92
sky 15.0 14.4 14.7
S/N 16.4 26.7 27.6
S/N(c) 14.6 24.6 25.9
SN(E/C) 0.89
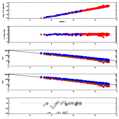
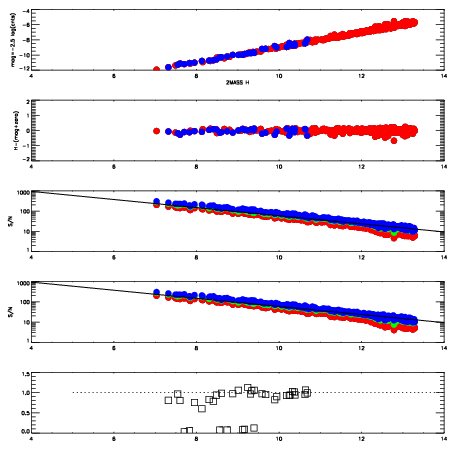
3680021
RedGreenBlue
z18.97
znorm14.79
sky 14.9 14.5 14.6
S/N 15.2 25.1 25.8
S/N(c) 13.4 22.9 24.3
SN(E/C) 0.98
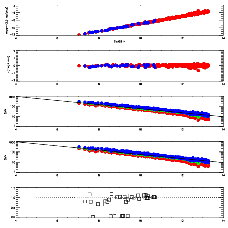
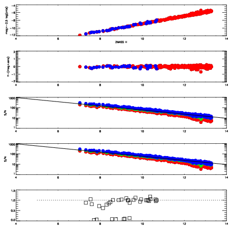
3680022
RedGreenBlue
z19.02
znorm14.84
sky 14.6 14.4 14.5
S/N 15.8 25.9 26.3
S/N(c) 14.1 23.5 24.8
SN(E/C) 0.94
3680023
RedGreenBlue
z19.02
znorm14.84
sky 14.9 14.5 14.5
S/N 15.8 26.1 26.6
S/N(c) 14.0 23.8 25.0
SN(E/C) 0.90
3680024
RedGreenBlue
z18.91
znorm14.73
sky 14.8 14.5 14.6
S/N 14.4 24.3 24.5
S/N(c) 13.0 22.0 23.1
SN(E/C) 0.96
3680025
RedGreenBlue
z19.00
znorm14.82
sky 14.7 14.5 14.5
S/N 15.6 25.8 26.0
S/N(c) 13.7 23.4 24.7
SN(E/C) 0.94
3680026
RedGreenBlue
z18.98
znorm14.80
sky 14.7 14.6 14.6
S/N 15.3 25.0 25.8
S/N(c) 13.4 23.0 24.4
SN(E/C) 0.96