PLATE: 5499 MJD: 55872 FIELD: 165+04

FrameCartsec zseeingNreadsDitherPixshiftZerosky continuumS/NS/N(c)
3100065 4 1.08 2.09 47 0.00 -0.00 18.04 [14.30,13.99,14.05] [ 8.1, 15.1, 15.9] [ 6.7, 13.6, 14.5]
3100066 4 1.07 1.69 47 0.44 -0.00 18.59 [14.73,14.56,14.84] [ 12.0, 21.2, 22.6] [ 10.2, 19.2, 20.8]
3100067 4 1.06 1.89 47 0.45 -0.00 17.29 [14.01,13.95,14.13] [ 3.9, 8.6, 8.8] [ 3.4, 7.6, 7.8]
3100068 4 1.05 2.75 47 -0.02 0.00 16.93 [14.16,14.08,14.20] [ 3.0, 6.5, 6.8] [ 2.6, 5.8, 6.0]
3100069 4 1.04 2.27 47 -0.02 0.00 18.10 [14.73,14.75,14.96] [ 8.2, 15.9, 16.9] [ 6.8, 14.3, 15.3]
3100070 4 1.04 1.82 47 0.45 0.00 16.83 [13.99,13.90,14.05] [ 2.7, 5.9, 6.2] [ 2.3, 5.4, 5.5]
3100071 4 1.03 1.96 47 0.45 0.00 18.09 [14.33,14.33,14.53] [ 8.3, 15.2, 16.3] [ 7.1, 13.5, 15.0]
3100072 4 1.03 2.38 47 -0.02 -0.00 17.92 [14.39,14.26,14.47] [ 7.2, 13.5, 15.1] [ 6.0, 11.7, 13.8]

IPAIRNAMESHIFTNEWSHIFTS/N NAMESHIFTNEWSHIFTS/N
0 03100070 0.454 0.000 93.21 03100068 -0.017 0.471 99.68
1 03100066 0.441 0.013 219.96 03100069 -0.018 0.471 172.90
2 03100071 0.447 0.006 173.72 03100065 0.000 0.454 171.62
3 03100067 0.449 0.005 118.13 03100072 -0.019 0.472 161.14

Visit (multiple exposure and dither combined) spectra

FrameZeropointsMag plots Spatial mag deviation Spatial sky 16325A emission deviations (filled: sky, open: star) Spatial sky continuum emission Spatial sky telluric CO2 absorption deviations (filled: H < 10)
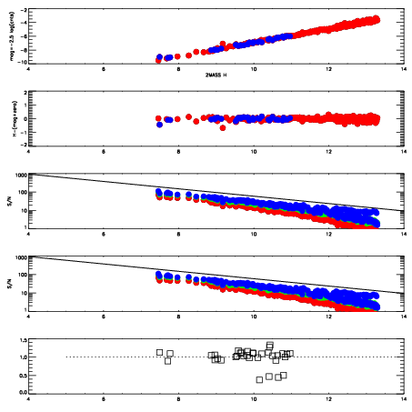
3100065
RedGreenBlue
z18.04
znorm13.86
sky 14.3 14.0 14.1
S/N 8.1 15.1 15.9
S/N(c) 6.7 13.6 14.5
SN(E/C) 1.00
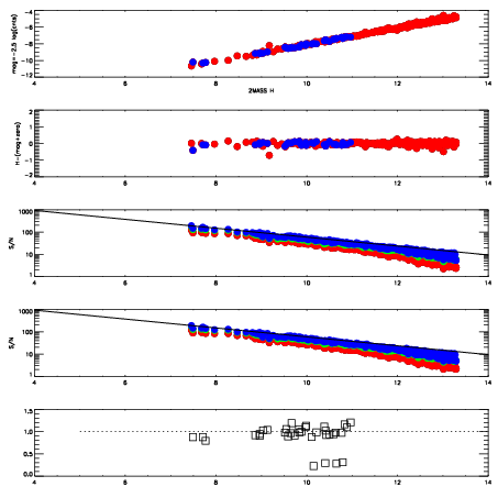
3100066
RedGreenBlue
z18.59
znorm14.41
sky 14.7 14.6 14.8
S/N 12.0 21.2 22.6
S/N(c) 10.2 19.2 20.8
SN(E/C) 0.96
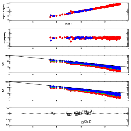
3100067
RedGreenBlue
z17.29
znorm13.11
sky 14.0 14.0 14.1
S/N 3.9 8.6 8.8
S/N(c) 3.4 7.6 7.8
SN(E/C) 1.02
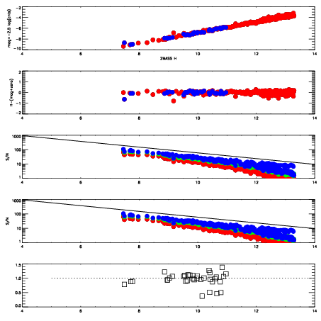
3100068
RedGreenBlue
z16.93
znorm12.75
sky 14.2 14.1 14.2
S/N 3.0 6.5 6.8
S/N(c) 2.6 5.8 6.0
SN(E/C) 1.04
3100069
RedGreenBlue
z18.10
znorm13.92
sky 14.7 14.7 15.0
S/N 8.2 15.9 16.9
S/N(c) 6.8 14.3 15.3
SN(E/C) 0.97
3100070
RedGreenBlue
z16.83
znorm12.64
sky 14.0 13.9 14.1
S/N 2.7 5.9 6.2
S/N(c) 2.3 5.4 5.5
SN(E/C) 0.98
3100071
RedGreenBlue
z18.09
znorm13.91
sky 14.3 14.3 14.5
S/N 8.3 15.2 16.3
S/N(c) 7.1 13.5 15.0
SN(E/C) 0.96
3100072
RedGreenBlue
z17.92
znorm13.74
sky 14.4 14.3 14.5
S/N 7.2 13.5 15.1
S/N(c) 6.0 11.7 13.8
SN(E/C) 1.03